Вход/Регистрация
Вертолёт, 2006 №4
вернуться

Журнал Вертолет

Шрифт:

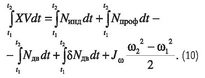
Проинтегрировав выражение (9) в пределах рассматриваемого участка траектории, получим формулу для энергии вертолета, расходуемой на преодоление силы сопротивления несущего винта за время пролета участка траектории:

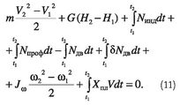
Используя это выражение, получим второй вариант уравнения баланса энергий:

Уравнение (11) интересно тем, что в него в явном виде входит энергия, сообщаемая несущим винтом. Определим величину, а

следовательно, и значимость каждой составляющей в балансе энергий (отметим, есть авторы, считающие, что посадочная скорость вертолета на режиме авторотации зависит главным образом от изменения кинетической энергии несущего винта, что несправедливо, так как в уравнение (11) входят другие, большие по величине слагаемые).

Подынтегральные функции в выражениях (6) и (11) определены по данным расчета посадок, выполненных численным интегрированием уравнений движения. Допустим, вертолет (G=11 т, J =1200 кгм/с^2) снижался со скоростями V=130 км/ч, V yg=-13,7 м/с, =25,2 1/с. На высоте 44 м летчик начал предпосадочный маневр, увеличив угол тангажа и с 3° до 20–25° за 1,3 с. При таких углах тангажа сила X увеличилась на ~ 4000 кг и стала равной 7000–8000 кг. Вертолет интенсивно замедлялся:(dV/dt)~~-4 м/c 2, поэтому ю увеличилась до 27 1/с, а скорость снижения упала до 7 м/с. На V<100 км/ч уменьшение V прекратилось. На высоте 10 м летчик начал увеличение шага винта, то есть «подрыв». Шаг винта был увеличен до максимального — на 14° за 1,8 с. При этом шаге винт вертолета имел следующие величины безразмерных коэффициентов: C т/=0,28, m k/a=0,019. Максимальное замедление винта на 4,8–5,3 секундах равно -6,51/с^2. Создаваемая инерционными силами мощность J (d/dt)= =163 тыс. кгм/с=2200 л.с., однако эта мощность создается в течение непродолжительного времени: 0,5 с (общее время замедления винта 3 с). Несмотря на уменьшение окружной скорости винта при промежуточной величине шага лопастей сила тяги винта увеличилась: Т max=14 Тс. Следовательно, увеличилась подъемная сила винта и Vyg начала уменьшаться (по абсолютной величине). Величина угла атаки а во время планирования вертолета равнялась 19°, во время торможения — 30–37°. Предпосадочный маневр длился t 2– t 1= 5,6 с.

Столь интенсивное пилотирование потребовало отклонения автомата перекоса в пределах ±4°. Приземление вертолета произошло с углами тангажа фюзеляжа и винта 8° и 3° соответственно, со скоростями V 2=65,7 км/ч, V yg=-2,6 м/с, 2=17 1/с, с углами =8°, =3+8=11°.

«Подрыв» приводит к существенному уменьшению вертикальной составляющей посадочной скорости, но мало влияет на горизонтальную составляющую и длину пробега вертолета (рис. 2).

Величины изменения энергий за время предпосадочного маневра оказались следующими (в 1000 кгм или 10000 Дж):

энергия винта и планера: 955 и 65.

Таким образом, работа внешних сил А=480-955-65=-540, следовательно, теорема (1) и уравнение баланса энергий выполнены: -540-480+955+65=0. Энергия винта, равная 955, состоит из индуктивных и профильных потерь: 700 и 398; потерь на привод систем вертолета: 63; изменения кинетической энергии винта: -206 (700+398+63-206=955).

< image l:href="#" />

Рис. 2. Изменение параметров вертолета при посадках на авторотации и с одним работающим двигателем; момент инерции НВ 1200–1450 кгм/с^2

Большая часть энергии пришлась на преодоление индуктивных и профильных потерь несущего винта. Уменьшение кинетической энергии несущего винта внесло в баланс энергий вертолета 206 тыс. кгм. Эта величина складывается из роста энергии при замедлении винта (в основном при «подрыве») на 280 тыс. кгм, а потери при начальной раскрутке винта равны 74 тыс. В балансе энергий кинетическая энергия винта составляет 17 %.

Определение посадочной скорости сводится к определению кинетической энергии вертолета в момент приземления. В этом примере по расчету уравнения (6) она равна: mV 2^2/2=(725+480)-(955+65)-1205-1020=185 тыс. кгм. По уравнению (11) энергия вертолета в момент приземления равна (725+480)+(206)-(700+398+63+65) = =1411–1226=185 тыс. кгм. Первая скобка в этом выражении — это энергия в начале предпосадочного маневра, вторая — энергия, приобретенная во время предпосадочного маневра, третья скобка — потерянная энергия.

Ошибка в величине потерянной энергии на 10 % приблизительно в 2 раза изменяет величину кинетической энергии вертолета в момент посадки, так что в ~1,5 раза изменяет величину посадочной скорости. Следовательно, потерянная энергия несущего винта (а это индуктивные и профильные потери) должна определяться по совершенным программам, а не по приближенным формулам.

Был сделан расчет посадки на режиме авторотации вертолета, у которого момент инерции винта увеличен до 1450 кгм/с 2, то есть на 20 %.

Управление вертолетом было таким же, как при J =1200 кгм/с^2. Расчет показал, что уменьшилась раскрутка винта при торможении вертолета и частота вращения винта при «подрыве» стала большей: 2=18 1/с вместо 2=17 1/с. Изменение кинетической энергии винта при «подрыве» увеличилось только на 9 %, стало равным 224 тыс. кгм. Посадочная скорость V xgи длина пробега не изменились. Подъемная сила Y из-за увеличения ю возросла, так что вертикальная составляющая посадочной скорости V ygуменьшилась на 0,7 м/с, с 2,6 до 1,9 м/с. Таким образом, внесенная из-за увеличения J энергия 224000-206000=18000 кгм привела к уменьшению кинетической энергии вертолета в момент посадки только на 1800 кгм (уменьшение V yg), а 16200 кгм — повышение индуктивных потерь винта из-за увеличения Y. Если выполнять посадки с V yg=2,6 м/с, то можно увеличить начальную высоту маневра и время интенсивного торможения вертолета с большим углом тангажа, так что посадочная скорость уменьшится, но немного, до 58 км/ч. Эти примеры показали, что увеличение момента инерции винта, а следовательно, массы вертолета нецелесообразно.

  • Читать дальше
  • 1
  • ...
  • 5
  • 6
  • 7
  • 8
  • 9
  • 10
  • 11
  • 12
  • 13
  • 14
  • 15
  • ...

Ебукер (ebooker) – онлайн-библиотека на русском языке. Книги доступны онлайн, без утомительной регистрации. Огромный выбор и удобный дизайн, позволяющий читать без проблем. Добавляйте сайт в закладки! Все произведения загружаются пользователями: если считаете, что ваши авторские права нарушены – используйте форму обратной связи.

Полезные ссылки

  • Моя полка

Контакты

  • chitat.ebooker@gmail.com

Подпишитесь на рассылку: