Вход/Регистрация
Большая Советская Энциклопедия (ДИ)
вернуться

Большая Советская Энциклопедия

Шрифт:

Дирр Адольф

Дирр (Dirr) Адольф (17.12.1867, Аугсбург, — 9.4.1930, Пассау), немецкий языковед и этнограф. Хранитель этнографического музея в Мюнхене. Исследователь кавказских языков, автор труда «Введение в изучение кавказских языков» (1928).

Соч.: Грамматика удинского языка, Тифлис, 1903; Цахурский язык. Грамматический очерк, тексты, сборник цахурских слов с русским к нему указателем, [б. м., 1913]; Theoretisch-praktische Grarnmatik der modernen georgischen (grusinischen) Sprache, W. — Lpz., [1904].

Диррахий

Дирра'хий (лат. Dyrrachium), римское, а затем византийское название современного города Дуррес в Албании.

Дирхем

Дирхе'м, дирхам, 1) старинная арабская серебряная монета, равнялась 2,97 г чистого серебра. Чеканилась с 695. Д. применялся в торговле арабов с др. странами (с Древней Русью в 9—13 вв.). 2) Разменная монета Ирака, равная 50 филсам или 1/20динара. 3) Денежная единица Марокко, равная 100 марокканским франкам. По курсу Госбанка СССР на 1 января 1971 100 Д. = 17 рублей 78 копеек. 4) Мера веса драгоценных металлов в Египте и Судане, равная 3,12 г.

Дис...

Дис..., перед гласными — диз... (от греч. dys..., лат. dis...), приставка, обозначающая затруднение, нарушение, расстройство, разделение, утрату (например, диссоциация, дисгармония, диспропорция, дизурия).

Дисазокрасители

Дисазокраси'тели,азокрасители, содержащие две азогруппы — N = N —.

Дисахариды

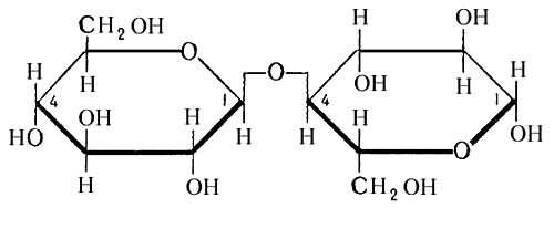
Дисахари'ды, биозы, углеводы, молекулы которых состоят из двух остатков моносахаридов. Все Д. построены по типу гликозидов. При этом водородный атом гликозидного гидроксила одной молекулы моносахарида замещается остатком др. молекулы моносахарида за счёт полуацетального или спиртового гидроксила. В первом случае образуются Д., не обладающие восстанавливающими свойствами, во втором — Д. с восстанавливающими свойствами (I). В группу невосстанавливающих Д. входят трегалоза (микоза, или грибной сахар), состоящая из 2 остатков глюкозы (II); сахароза, состоящая из остатков глюкозы и фруктозы (III), и др. К группе восстанавливающих Д. относятся мальтоза (IV), целлобиоза (V), лактоза (VI) и др. Д. могут содержать 5- и 6-членные кольца моносахаридов (пентозы и гексозы) и различаться по конфигурации гликозидной связи (a- или b-гликозиды). Пространственные формы (конформации) колец моносахаридных остатков в разных Д. могут варьировать. Так, целлобиоза и мальтоза различаются не только конфигурацией гликозидной связи (a — у мальтозы и b — у целлобиозы), но и тем, что в целлобиозе оба остатка находятся в одинаковой конформации, а в мальтозе — в разных.

Д. — хорошо кристаллизующиеся вещества, легко растворимы в воде и в 45 — 48°-ном спирте, плохо растворимы в 96°-ном спирте; оптически активны; сладки на вкус. Гидролиз Д. (для сахарозы называется инверсией) происходит при действии кислот; при наличии 5-членного кольца в моносахаридном остатке скорость кислотного гидролиза Д. возрастает. Гидролиз Д. осуществляется также ферментами (карбогидразами), например a- или b-гликозидазами (в зависимости от типа гликозидной связи в Д.). В результате гидролиза образуются моносахариды.

Д. широко распространены в животных и растительных организмах. Они встречаются в свободном состоянии (как продукты биосинтеза или частичного гидролиза полисахаридов), а также как структурные компоненты гликозидов и др. соединений. Обычно Д. получают из природных источников (например, сахарозу — из сахарной свёклы или сахарного тростника, лактозу — из молока животных). Многие Д. синтезируют химическими и биохимическими методами.

Сахароза, лактоза и мальтоза — ценные пищевые и вкусовые вещества. Производством сахарозы занята сахарная промышленность.

Лит.: Химия углеводов, М., 1967; Степаненко Б. Н., Углеводы. Успехи в изучении строения и метаболизма, М., 1968; Stanek J., Cern'y M., Pac'ak J., The Oligosaccharides, Prague, 1965.

Б. Н. Степаненко.

Трегалоза.

Образование восстанавливающего дисахарида.

Образование невосстанавливающего дисахарида.

Мальтоза.

Лактоза.

Сахароза.

Целлобиоза.

Дисбактериоз

Дисбактерио'з (от дис... и бактерии), качественное изменение бактериальной микрофлоры организма, главным образом его кишечника. Термин ввёл немецкий учёный А. Нисле (1916). Д. возникает под влиянием питания, конкурирующих бактерий, фагов, антибиотиков и др. антибактериальных веществ.

  • Читать дальше
  • 1
  • ...
  • 91
  • 92
  • 93
  • 94
  • 95
  • 96
  • 97
  • 98
  • 99
  • 100
  • 101
  • ...

Ебукер (ebooker) – онлайн-библиотека на русском языке. Книги доступны онлайн, без утомительной регистрации. Огромный выбор и удобный дизайн, позволяющий читать без проблем. Добавляйте сайт в закладки! Все произведения загружаются пользователями: если считаете, что ваши авторские права нарушены – используйте форму обратной связи.

Полезные ссылки

  • Моя полка

Контакты

  • chitat.ebooker@gmail.com

Подпишитесь на рассылку: