Вход/Регистрация
Ответы на экзаменационные билеты по эконометрике
вернуться

Яковлева Ангелина Витальевна

Шрифт:

Основными математическими предпосылками эконометрического моделирования являются теоремы Чебышева, Бернулли и Ляпунова. Совокупность этих теорем носит общее название закона больших чисел.

На практике исследователи часто сталкиваются с таким комплексом условий, при осуществлении которого совокупное поведение достаточно большого количества случайных величин почти утрачивает случайный характер и приобретает определённые закономерности. Поэтому для решения подобных задач необходимо знать данный подобный комплекс условий, вследствие которого результат совокупного воздействия количества случайных факторов почти не зависит от случая. В этом случае опираются на закон больших чисел.

Для рассмотрения теоремы Чебышева вначале необходимо доказать неравенство Чебышева. Неравенство Чебышева справедливо как для дискретных, так непрерывных случайных величин. Рассмотрим его на примере дискретных случайных величин.

Предположим, что случайная дискретная величина X подчиняется закону распределения вида:

Задача состоит в оценке вероятности того, что отклонение случайной величины Х от её математического ожидания М(Х) не превышает по абсолютной величине положительного числа . Если число достаточно мало, то задача будет состоять в оценке вероятности того, что случайная величина Х примет значения, достаточно близкие к своему математическому ожиданию М(Х). Данная задача решается с применением неравенства П.Л. Чебышева.

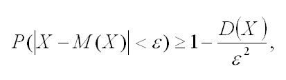
Неравенство Чебышева. Вероятность того, что отклонение случайной величины Х от её математического ожидания М(Х) по абсолютной величине меньше положительного числа не меньше, чем

т. е.

Доказательство. Так как события |Х-М(Х)|‹ и |Х-М(Х)|>= являются противоположными, то на основании теоремы сложения вероятностей сумма их вероятностей равна единице:

P(|Х-М(Х)|‹)+P(|Х-М(Х)|>=)=1.

Выразим из полученного равенства вероятность |Х-М(Х)|‹:

P(|Х-М(Х)|‹)=1– P(|Х-М(Х)|>=). (1)

Дисперсия случайной величины Х определяется по формуле:

D(X)=(x1–M(X))2*p1+(x2–M(X))2*p2+…+(xn–M(X))2*pn.

Если отбросить первые k+1 слагаемые, для которых выполняется условие |xj-M(X)|‹ , то получим следующее неравенство:

D(X)>=(xk+1–M(X))2*pk+1+(xk+2–M(X))2*pk+2+…+(xn–M(X))2*pn.

Возведя обе части неравенства

в квадрат, получим равносильное неравенство |xj–M(X)|2>=2. Если заменить в оставшейся сумме каждый из множителей |xj–M(X)|2 числом 2, то получим следующее выражение:

D(X)>= 2(pk+1+ pk+2+…+ pn).

Так как сумма в скобках (pk+1+ pk+2+…+ pn) является выражением вероятности P(|Х-М(Х)|>=), то справедливо неравенство (2):

D(X)>= 2P(|Х-М(Х)|>=),

или

Если подставить неравенство (2) в выражение (1), то получим:

что и требовалось доказать.

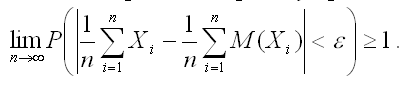
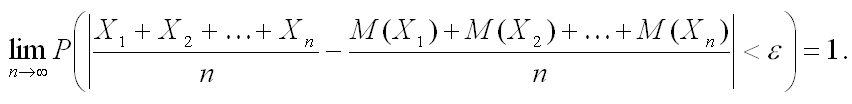
Теорема Чебышева. Если величины X1, X2, …, Xn являются последовательностью попарно независимых случайных величин, имеющих дисперсии, ограниченные одной и той же постоянной С (D(Xi)<=C), то, как бы ни было мало положительное число , вероятность неравенства

будет приближаться к единице, если число случайных величин достаточно мало. Другими словами, для любого положительного числа существует предел:

Доказательство. В силу второго свойства дисперсии (постоянный множитель можно выносить за знак дисперсии, возводя его в квадрат) и оценки D(Xi)<=C получим:

Таким образом,

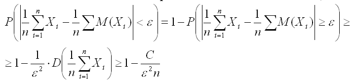
Из данного соотношения и неравенства Чебышева вытекает, что

Отсюда, переходя к пределу при n›, получим

Учитывая, что вероятность не может быть больше единицы, окончательно запишем:

что и требовалось доказать.

Если для рассматриваемых случайных величин математическое ожидание одинаково и дисперсии данных величин ограничены, то к ним применима теорема Чебышева. В этом случае считается справедливым утверждение, что среднее арифметическое достаточно большого количества попарно независимых случайных величин, дисперсии которых ограничены одной и той же постоянной, утрачивает характер случайной величины.

  • Читать дальше
  • 1
  • 2
  • 3
  • 4
  • 5
  • 6
  • 7
  • ...

Ебукер (ebooker) – онлайн-библиотека на русском языке. Книги доступны онлайн, без утомительной регистрации. Огромный выбор и удобный дизайн, позволяющий читать без проблем. Добавляйте сайт в закладки! Все произведения загружаются пользователями: если считаете, что ваши авторские права нарушены – используйте форму обратной связи.

Полезные ссылки

  • Моя полка

Контакты

  • chitat.ebooker@gmail.com

Подпишитесь на рассылку: