Вход/Регистрация
Математика в занимательных рассказах
вернуться

Перельман Яков Исидорович

Шрифт:

— А если бы мы выразили его в триллионах? — спросил Буркель.

— Триллион — число внушительное: единица с 18 нулями. Но если ты разделишь на него число наших томов, то от двух миллионов нулей отпадает 18. Останется единица с 1 999 982 нулями, — число столь же непостижимое, как и первое. Впрочем… — профессор сделал на листке бумаги какие-то выкладки.

— Я была права: без письменного вычисления не обойдется, — заметила его жена.

— Оно уже кончено. Могу теперь иллюстрировать наше число. Допустим, что каждый том имеет в толщину 2 сантиметра и все тома расставлены в один ряд. Какой длины, думаете вы, будет этот ряд?

Он с торжеством взирал на молчащих собеседников.

Последовало неожиданное заявление племянницы:

— Я знаю, какую длину займет ряд. Сказать?

— Конечно.

— Вдвое больше сантиметров, чем томов.

— Браво, браво! — подхватили кругом. — Точно и определенно.

— Да, — сказал профессор, — но попытаемся представить это наглядно. Вы знаете, что свет пробегает в секунду 300 000 километров, т. е. в год 10 биллионов километров, или триллион сантиметров. Если, значит, библиотекарь будет мчаться вдоль книжного ряда с быстротой света, то за два года он успеет миновать всего только один триллион томов. А чтобы обозреть таким манером всю библиотеку, понадобилось бы лет дважды единица с 1 999 982 нулями. Вы видите, что даже число лет, необходимое для обозрения библиотеки, столь же трудно себе представить, как и число самих томов. Здесь яснее всего сказывается полная бесполезность всяких попыток наглядно представить себе это число, хотя повторяю, оно и конечно.

Профессор хотел было уже отложить листок, когда Буркель сказал:

— Если собеседницы наши не запротестуют, я позволю себе задать еще только один вопрос. Мне кажется, что для придуманной тобою библиотеки не хватит места в целом мире.

— Это мы сейчас узнаем, — сказал профессор и снова взялся за карандаш. Сделав выкладки, он объявил:

— Если нашу библиотеку сложить так, чтобы каждые 1000 томов заняли один кубический метр, то целую Вселенную, до отдаленнейших туманностей, пришлось бы заполнить такое число раз, которое короче нашего числа томов всего лишь на 60 нулей. [30] Словом, я был прав: никакими средствами невозможно приблизиться к наглядному представлению этого исполинского числа.

30

См. примечание 2-е на с. 97.

Примечания редактора

Примечание 1. Что поражающее вычисление нередко фигурирует в книгах по теории вероятности. Французский математик Э. Борель в своей известной книге «Случай» придает ему следующую форму.

Предположим, что число знаков, употребляемых в письме, считая также знаки препинания и т. п., равняется 100; книга среднего размера содержит менее миллиона типографских знаков. Спрашивается: какова вероятность вынуть целую книгу, выбирая наудачу по одной букве?

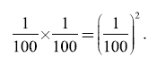
Очевидно, вероятность того, чтобы вынутая буква была первой буквой книги, равна 1/100; она также равна 1/100 для того, чтобы вторая вынутая буква была второй буквой книги; а так как эти две вероятности независимы, то вероятность, что случатся оба события, равна

То же самое рассуждение можно повторить и для третьей буквы, для четвертой и т. д. Если их миллион, то вероятность, что случай даст именно их, равна произведению миллиона множителей, из которых каждый равен одной сотой; оно равно

Примечание 2. В этом расчете нет преувеличения: он вполне точен для тех представлений о размере Вселенной, которые господствовали в момент написания рассказа. Интересно повторить вычисление, исходя из современных представлений.

Согласно новейшим исследованиям астронома Кертиса, самые далекие объекты Вселенной — спиральные туманности — расположены от нас на расстоянии 10 миллионов световых лет. Световой год, т. е. путь, проходимый светом в течение года, равен, круглым числом, 10 биллионам километров, т. е. 1013 км. Следовательно, радиус видимой Вселенной мы можем считать равным

1013 x 107 = 1020 километрам,

или

1020 x 1000 = 1023 метрам.

Объем такого шара в куб. метрах равен

Считая по 1000 томов в куб. метре объема, узнаем, что Вселенная указанных размеров могла бы вместить только

4 = 1069 x 1000 = 4 x 1072 томов.

Следовательно, разделив все число томов «универсальной библиотеки» на это число, мы сократили бы ряд нулей на 73; разница между этим результатом и приведенным в рассказе, как видим, несущественна.

Примечание 3. Литературная машина

Поучительно рассмотреть придуманный Перельманом проект видоизменения идеи Лассвица, [31] сущность которого ясна из следующего воображаемого разговора.

— В том виде, какой Лассвиц придал своей идее «универсальной библиотеки», она, конечно, неосуществима. Слишком уж велик размах: перебирать все комбинации из миллиона типографских знаков! Неудивительно, что получаются сверхастрономические числа. Другое дело — если ограничиться гораздо более скромными рамками.

31

Идея эта принадлежит, собственно, Лейбницу; Лассвиц лишь облек ее в форму рассказа.

  • Читать дальше
  • 1
  • ...
  • 15
  • 16
  • 17
  • 18
  • 19
  • 20
  • 21
  • 22
  • 23
  • 24
  • 25
  • ...

Ебукер (ebooker) – онлайн-библиотека на русском языке. Книги доступны онлайн, без утомительной регистрации. Огромный выбор и удобный дизайн, позволяющий читать без проблем. Добавляйте сайт в закладки! Все произведения загружаются пользователями: если считаете, что ваши авторские права нарушены – используйте форму обратной связи.

Полезные ссылки

  • Моя полка

Контакты

  • chitat.ebooker@gmail.com

Подпишитесь на рассылку: