Вход/Регистрация
Пуговицы Наполеона. Семнадцать молекул, которые изменили мир
вернуться

Берресон Джей

Шрифт:

В одной из самых простых органических молекул — в молекуле метана (болотного газа) — углерод окружен четырьмя простыми (одинарными) связями, каждая из которых соединяет его с атомом водорода. Химическая формула метана CH4, а структурная формула выглядит так:

Метан

Самая простая органическая молекула с двойной связью — этилен (C2H2). Его структурная формула такова:

Этилен

В данном случае углерод по-прежнему имеет четыре связи, поскольку двойная связь рассматривается как две одинарные. Этилен — очень простое и очень важное вещество. Это растительный гормон, способствующий созреванию плодов. Например, если яблоки хранить в непроветриваемом помещении, они быстро перезреют под действием собственного этилена. (Можно ускорить созревание неспелых авокадо или киви, положив их в пакет со спелым яблоком.)

Органическое соединение метанол, или метиловый спирт, имеет химическую формулу CH4O. Структура этого кислородсодержащего соединения представлена на рисунке:

Метанол

В данном случае атом кислорода имеет две простые связи, одна из которых связывает его с атомом углерода, а другая — с атомом водорода. И, как всегда, углерод окружен четырьмя связями.

В соединениях, в которых существует двойная связь между атомами углерода и кислорода, как в уксусной кислоте (уксусе), формула C2H4O2 не показывает однозначно, где расположена двойная связь. Именно по этой причине нам нужны структурные формулы: чтобы показать, в каком порядке соединяются атомы и где расположены двойные связи.

Уксусная кислота

Подобные структурные формулы можно изобразить и в сжатом виде. Тогда структурная формула уксусной кислоты примет следующий вид:

или даже

Здесь показаны не все химические связи, существующие в этой молекуле. Такая форма записи позволяет упростить рисунок и демонстрирует только взаимное расположение атомов.

Эта система записи хорошо подходит для небольших молекул, но для более крупных молекул даже такая запись отнимает много времени и сложна для восприятия. Например, обратимся вновь к молекуле, синтезируемой пчелиной маткой, и сравним две формы записи — сжатую и развернутую, отражающую расположение всех связей:

Развернутая структурная формула молекулы, синтезируемой пчелиной маткой

Такая формула слишком громоздка и плохо воспринимается. По этой причине молекулы часто изображают с некоторыми упрощениями. Самым распространенным из них является отсутствие в формулах большинства атомов водорода. (Но это не означает, что атомов водорода в этих молекулах нет.) Атом углерода всегда имеет четыре связи. Поэтому если вы видите, что в какой-либо формуле атом углерода имеет меньше связей, знайте: на самом деле, связей четыре, просто те, которых нет на рисунке, связывают углерод с атомом водорода.

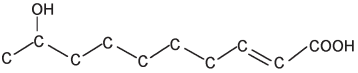
Молекула, синтезируемая пчелиной маткой

Кроме того, атомы углерода в формулах часто изображают связанными не по прямой линии, а под углом. На самом деле такая запись точнее отражает реальную структуру молекул. Изобразим молекулу, синтезируемую пчелиной маткой.

А в еще более сжатом виде можно опустить большинство атомов углерода:

Здесь конец линии и все пересечения обозначают место расположения атома углерода. Все остальные атомы, за исключением большинства атомов водорода и углерода, изображены. Если использовать данное упрощение, то разница между молекулами, синтезируемыми пчелиной маткой и рабочей пчелой, видна гораздо отчетливее.

Молекула, синтезируемая пчелиной маткой

Молекула, синтезируемая рабочей пчелой

Кроме того, в таком виде проще сравнить эти молекулы с молекулами, которые синтезируют другие насекомые. Например, бомбикол — это феромон, или половой аттрактант, который синтезируют самцы тутового шелкопряда. В отличие от молекулы, синтезируемой пчелиной маткой (которая также является феромоном), эта молекула состоит из шестнадцати атомов углерода, имеет две двойные связи вместо одной и не содержит группы COOH.

Молекула, синтезируемая пчелиной маткой

Молекула бомбикола

Особенно выгодно опускать изображение атомов углерода и водорода в формулах циклических соединений — достаточно распространенных структур, в которых атомы углерода образуют кольцо. Ниже приведена структурная формула молекулы циклогексана C6H6.

Сжатая форма изображения химической структуры циклогексана. Пересечение любых двух линий указывает место расположения атома углерода. Атомы водорода не показаны.

  • Читать дальше
  • 1
  • 2
  • 3
  • 4
  • 5
  • 6
  • 7
  • 8
  • 9
  • ...

Ебукер (ebooker) – онлайн-библиотека на русском языке. Книги доступны онлайн, без утомительной регистрации. Огромный выбор и удобный дизайн, позволяющий читать без проблем. Добавляйте сайт в закладки! Все произведения загружаются пользователями: если считаете, что ваши авторские права нарушены – используйте форму обратной связи.

Полезные ссылки

  • Моя полка

Контакты

  • chitat.ebooker@gmail.com

Подпишитесь на рассылку: