Вход/Регистрация
Антимозг: цифровые технологии и мозг
вернуться

Шпитцер Манфред

Шрифт:

Чтобы выяснить, действительно ли наше понятийное знание (например, наше представление о том, что такое молоток; что в домах можно жить; что чашка — предмет кухонной утвари, а каждая кухонная принадлежность — предмет неодушевленный и т. д.) самым тесным образом связано с действиями, 28 студентов Ульмского университета должны были приобрести понятийные знания о 64 несуществующих объектах: образ, название, принадлежность к какой-либо категории, очертания и детальные признаки. За участие в обширной программе обучения (16 сеансов по 90 минут) мы заплатили каждому студенту по 200 евро.

7.10. Примеры несуществующих в реальности объектов, подлежащих изучению.

Чтобы исследовать влияние вида обучения (схватывание сути или лишь примысливание, то есть попытка толкования какого-либо явления) на последующее знание, студентов разделили на две группы. В одной группе обучающиеся должны были рассмотреть изображение несуществующего предмета, прочитать его название и, кроме того, придумать подходящее к нему действие (взять в руки, куда-либо вставить или, наоборот, вставить что-либо в него, резать, стучать) и выполнить это действие как пантомиму. Второй группе тоже демонстрировали изображение и название предмета, причем самая важная его деталь, на которую испытуемый должен был указать пальцем, была обведена кружком.

За исключением четырех испытуемых, не справившихся с заданием, обе группы поначалу учились одинаково хорошо: по окончании тренировки они овладели всеми 64 несуществующими объектами, могли правильно называть их и корректно относить к соответствующим категориям. С целью измерения прогресса в обучении испытуемые еще в ходе тренировок должны были справляться с контрольными заданиями. Для этого они поочередно рассматривали два несуществующих объекта, а затем должны были нажатием клавиши указать, принадлежат предметы к одной категории или к разным. Начиная с пятой тренировки (несуществующие объекты и их названия к этому моменту были хорошо знакомы участникам эксперимента), была введена вариация этого задания: испытуемым последовательно предъявляли только названия объектов, при этом они снова должны были указать, относятся ли названные несуществующие объекты к одной категории или к разным. При выполнении обоих заданий оказалось, что испытуемые первой группы, производившие с несуществующими предметами действия, заметно быстрее могли отнести объекты к нужной категории.

7.11. Обучение путем обращения с несуществующим объектом.

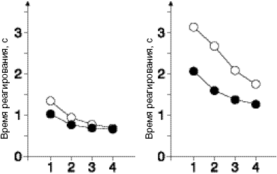
Когда испытуемым показывают изображения двух несуществующих объектов, им нужно лишь проверить, какими признаками обладают эти объекты. На основании выявленных признаков остается определить принадлежность каждого предмета к определенной категории и понять, к одной категории принадлежат предметы или к разным. Если же испытуемым предъявляют только названия несуществующих объектов, при решении аналогичной задачи надо напряженно размышлять: по названию вспомнить несуществующий объект, представить себе его, мысленно рассмотреть образ и отнести несуществующий объект к соответствующей категории; затем проделать то же самое со вторым несуществующим объектом и лишь затем сравнить обе категории (см. левый график на рис. 7.12). Скорость этих активных мыслительных усилий зависит от способа тренировки — это демонстрируют значения времени реагирования. Тот, кто при изучении несуществующих объектов производил с ними какие-то действия, может мысленно обращаться с ними явно быстрее, чем тот, кто при изучении только показывает на отличительный признак.

7.12. Прогресс в обучении при выполнении задачи на распределение несуществующих предметов по категориям. Представлены средние величины времени реагирования испытуемых, разбитых на учебные группы, — с выполнением действий с предметом (черные кружки) и с просмотром изображения предмета (белые кружки).

Другими словами, то, насколько эффективно управляется наш мозг с полученной информацией, зависит от того, каким образом эта информация была получена! Дополнительное тому подтверждение: во время выполнения задания с каждого испытуемого снималась 64-канальная электроэнцефалограмма (ЭЭГ), данные которой были оценены событийно-коррелированно. При этом в группе, осуществлявшей с предметами действия, видна более ранняя активация моторных зон лобных долей головного мозга.

Из этого можно сделать вывод, что способ, с помощью которого что-либо изучается, определяет, каким образом выученное откладывается в мозге. Тот, кто знакомится с миром посредством щелчка «мышью», что пропагандируют некоторые медийные педагоги, сможет размышлять о нем намного менее эффективно и изрядно медленнее. Щелчок «мышью» — акт демонстрирования, а не акт манипулирования (то есть обращения с вещью при помощи рук).

Тому, кто намерен овладеть серьезными знаниями, следует обратиться к реальному миру. Знания, которые мы получаем за компьютером, слабее и медленнее «отпечатываются» в нашем головном мозге, чем те, которые можно «потрогать руками». При этом мы знаем, что скорость мыслительных процессов тесно связана с уровнем интеллекта. Быстрота мышления — признак высокого интеллекта. Кроме того, доказано, что цифровой способ постижения мира отрицательно воздействует на формирование головного мозга, а что это означает для умственного развития, вы прекрасно себе представляете.

Карандаш или клавиатура?

Чтение и письмо — главные культурные навыки, которые в нашей письменно-языковой цивилизации изучаются в детстве. Уверенное владение письменной речью важно и для успеваемости в школе, и для будущих профессиональных успехов. Поэтому оптимальное обучение чтению и письму в детском саду и в школе имеет большое значение как для каждого отдельного индивидуума, так и для всего общества.

Правильно построенное преподавание чтения и письма, основанное на последних открытиях в области нейробиологии, может противодействовать даже отставанию в чтении и трудностям в овладении орфографией, причиной которых обычно являются патологии (болезненные отклонения) в участках головного мозга, отвечающих за переработку речи. Тем самым наука способна дать человеку шанс на полноценное интеллектуальное развитие. Однако до этого нам еще далеко. Педагогический хаос в Германии, который выражается, в отсутствии единой программы обучения правописанию в начальной школе, подчас приводит к тому, что ученик должен заново пройти программу первого класса, если его родители переехали на расстояние двух километров из Берлина в Бранденбург. Настало время покончить с такого рода халтурой на федеральном уровне и применить научные знания в преподавании чтения и письма. Это знание понадобится нам и для того, чтобы решить, должны ли дети, как раньше, писать мелом на доске и ручкой на бумаге или же теперь достаточно компьютерной клавиатуры.

Цифровые средства письма получают все большее распространение, и вряд ли стоит удивляться тому, что дети все чаще впервые знакомятся с письменной речью через них, а не путем чтения книг и собственноручных записей на бумаге. Уже есть первые результаты научных исследований, доказывающие, что применение цифровых средств для письма, которое начинается уже в детском возрасте, отрицательно влияет на способность к чтению у детей и взрослых. Нейробиологические исследования, проведенные с помощью функциональной магнитно-резонансной томографии (фМРТ) показывают, что узнавание букв, которые были выучены путем написания их от руки, приводит к усилению активности в моторных участках головного мозга. Если буквы были выучены путем ввода на клавиатуре, активизации не происходило. Из этого можно сделать вывод, что только формирование букв с помощью карандаша прокладывает моторные следы памяти, которые во время восприятия букв активизируются и облегчают узнавание букв по их визуальному образу. Этот дополнительный моторный след памяти, содействующий чтению, не формируется, если буквы вводили посредством клавиатуры, потому что движения, необходимые для нажатия на клавишу, не имеют никакого отношения к форме букв.

  • Читать дальше
  • 1
  • ...
  • 31
  • 32
  • 33
  • 34
  • 35
  • 36
  • 37
  • 38
  • 39
  • 40
  • 41
  • ...

Ебукер (ebooker) – онлайн-библиотека на русском языке. Книги доступны онлайн, без утомительной регистрации. Огромный выбор и удобный дизайн, позволяющий читать без проблем. Добавляйте сайт в закладки! Все произведения загружаются пользователями: если считаете, что ваши авторские права нарушены – используйте форму обратной связи.

Полезные ссылки

  • Моя полка

Контакты

  • chitat.ebooker@gmail.com

Подпишитесь на рассылку: