Вход/Регистрация
Система безопасности СССР
вернуться

Шевякин Александр Петрович

Шрифт:

КОМИТЕТ ИНФОРМАЦИИ ПРИ СМ СССР

30.5.1947 – 2.1949

Комитет информации (Комитет №4) при СМ СССР – объединенный орган политической и военной разведки. Создан Постановлением СМ СССР №1789-470сс от 30 мая 1947 г. В него включены: Первое Главное Управление МГБ СССР; ГРУ Министерства Вооруженных Сил СССР; разведывательные и информационные структуры аппарата ЦК ВКП(б); разведывательные и информационные структуры МИД СССР; разведывательные и информационные структуры Министерства Внешней Торговли СССР.

Председатели: Министр Иностранных дел СССР Молотов В.М. 30.5.1947 – 4.3.1949, заместители Министра Иностранных дел СССР: Вышинский А.Я. 19.5. – 2.8.1949, Зорин В.А. 2.8.1949 – 20.5.1952

Первый заместитель по политической линии

Первый заместитель по военной линии

Первый заместитель по военно-морской линии

Первый заместитель по дипломатической линии

Члены Комитета

Партком

Главные секретари: Панюшкин А.С. 30.5 – 11.1947; Тугаринов И.И. 11.1947 – ?

Заместители Председателя

1 -е управление (Англия, США)

2-е управление (Европа)

3-е управление (Ближний и Дальний Восток)

4-е управление (нелегальная разведка)

5-е управление (информации)

6-е управление(военная разведка)

7-е Управление (шифровальное)

Управление советников в странах народной демократии

1-й отдел (внешней контрразведки)

2-й отдел (научно-технической разведки)

Отдел «Д» (дезинформации)

Направление «ЕМ» (эмиграция)

Направление «СК» (совколонии)

Отдел оперативной техники

Отдел связи

Отдел кадров

Учебные заведения

Высшая разведывательная школа

Военная Академия Советской Армии

• Бюро по выездам и въездам при СМ СССР

Создано при КИ 25 июня 1947 г.

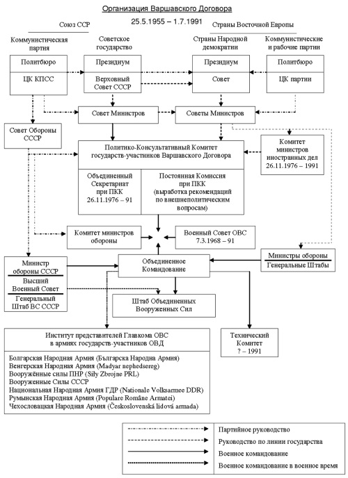
ОРГАНИЗАЦИЯ ВАРШАВСКОГО ДОГОВОРА

25.5.1955 – 1.7.1991

Схема 1

Создана на основе Договора о дружбе, сотрудничестве и взаимной помощи 14 мая 1955 г. на Варшавском совещании европейских государств по обеспечению мира и безопасности в Европе. Вступил в силу 5 июня 1955 г. В 1975 г. продлен на 10 лет. 26 февраля 1985 г. продлен на 20 лет.

Страны-участницы: Албания (с 1962 г. участия в работе не принимала; в сентябре 1968 г. в одностороннем порядке денонсировала договор), Болгария, Венгрия, ГДР, Польша, Румыния, СССР и Чехословакия. Решения об учреждении структур принимались на заседаниях Политико-Консультативного Комитета. В феврале 1991 г. государства-участники упразднили военные структуры, 1 июля 1991 г. в Праге подписали Протокол о полном прекращении действия Договора.

Председатели делегаций СССР на заседаниях Политико-Консультативного Комитета: Хрущев Н.С. 9.1953 – 14.10.1964, Брежнев Л.И. 14.10.1964 – 10.11.1982, Андропов Ю.В. 11.1982 – 2.1984, Черненко К.У. 13.3.1984 – 10.3.1985, Горбачев М.С. 10.3.1985 – 1991, Янаев Г.И. 1.7.1991.

Генеральные секретари ОВД: Антонов А.И. 26.5.1955 – 24.5.1958, Патоличев Н.С. 24.5.1958 – 4.2.1960, Фирюбин Н.П. 4.2.1960 – позднее 1978, ?, Варить М. [3] , на 1986 – ?, ?, Абоимов И.П. 1989 – 1990.

3

Заместитель министра иностранных дел Венгрии.

Главнокомандующие Объединенными Вооруженными Силами – 1-й Заместители министра обороны СССР: Конев И.С. 5.1955 – 6.1960, Гречко А.А. 6.1960 – 7.1967, Якубовский И.И. 7.1967 – 1976, Куликов В.Г. 1977 – 1989, Лушев П.Г. 2.1989 – 4.1991.

Начальники Штаба Объединенных Вооруженных Сил: Антонов А.И. 26.5.1955 – 1962, Батов П.И. 1962 – 1965, Казаков М.И. 1965 – 1968, Штеменко СМ. 8.1968 – 23.4.1976, Грибков А.И. 10.1976 – 1988, Лобов В.Н. 1989 – 1991.

Главнокомандование Объединенными Вооруженными Силами, Военный Совет ОВС ОВД, Штаб ОВС ОВД: Ленинградский пр-т, д. 41.

Органы Государственной Безопасности

ГЛАВНОЕ УПРАВЛЕНИЕ КОНТРРАЗВЕДКИ СМЕРШ («СМЕРТЬ ШПИОНАМ!») НАРОДНОГО КОМИССАРИАТА ОБОРОНЫ СССР

Создано 19 апреля 1943 г. на базе Управления Особых отделов НКВД СССР. Входило в состав НКО СССР, начальник Главного управления непосредственно подчинялся Наркому обороны И.В.Сталину и до 26 мая 1943 г. одновременно являлся его заместителем.

Аналогичными органами были Управление контрразведки СМЕРШ Наркомата ВМФ и Отдел контрразведки СМЕРШ НКВД.

  • Читать дальше
  • 1
  • ...
  • 7
  • 8
  • 9
  • 10
  • 11
  • 12
  • 13
  • 14
  • 15
  • 16
  • 17
  • ...

Ебукер (ebooker) – онлайн-библиотека на русском языке. Книги доступны онлайн, без утомительной регистрации. Огромный выбор и удобный дизайн, позволяющий читать без проблем. Добавляйте сайт в закладки! Все произведения загружаются пользователями: если считаете, что ваши авторские права нарушены – используйте форму обратной связи.

Полезные ссылки

  • Моя полка

Контакты

  • chitat.ebooker@gmail.com

Подпишитесь на рассылку: