Вход/Регистрация
Журнал «Компьютерра» №36 от 04 октября 2005 года
вернуться

Журнал Компьютерра

Шрифт:

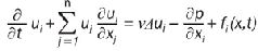
где u(x,t)=ui(x,t)– неизвестный вектор скорости, x– n-мерный вектор координат, t– время, а n– коэффициент вязкости. Второе уравнение говорит, что жидкость несжимаема. На математическом языке это выглядит так:

div u = 0.

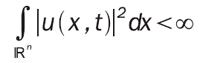
Кроме того, разумеется, уравнения должны быть снабжены начальными условиями, причем, чтобы оставаться в рамках разумных физических моделей, как начальный вектор, так и сила f (точнее, их производные) должны достаточно быстро уменьшаться по мере удаления от нуля координат к бесконечности, а вся система должна иметь ограниченную энергию:

Свои имена уравнениям дали французский инженер Клод-Луи Навье (Claude-Louis Navier), выдающийся мостостроитель, разработавший первую в мире теорию подвесных мостов, и Джордж Габриэль Стокс (George Gabriel Stokes), научные заслуги которого в основном относятся к математической физике и дифференциальной геометрии. Кстати, Стокс дал имя британской единице вязкости.

Неудивительно, что эти уравнения долгое время привлекали внимание математиков всего мира. И здесь есть серьезные причины для гордости за отечественную науку: весомый вклад в развитие теории уравнений Навье-Стокса внесла Ольга Александровна Ладыженская, одна из замечательных представителей петербургской математической школы. Главным результатом Ладыженской в этой области было полное решение проблемы в двумерном случае: Ольга Александровна доказала однозначную разрешимость задачи. В трехмерном случае она получила частичные результаты: доказала однозначную разрешимость уравнений на конечном промежутке времени, а также решила общую задачу в предположении малости так называемого числа Рейнольдса (этот параметр задает соотношение между инерцией и вязкостью; при больших значениях числа Рейнольдса поток становится турбулентным). А вот вопрос о единственности так называемого слабого решения Хопфа, которое существует для бесконечного промежутка, до сих пор остается открытым - и за ответ на него решение Clay Mathematical Institute готов заплатить миллион долларов.

Вклад Ладыженской в математику, разумеется, не ограничивался решением двумерных уравнений Навье-Стокса: достаточно сказать, что работы, выполненные ею в сотрудничестве со своей ученицей Ниной Николаевной Уральцевой[Мне посчастливилось слушать курс матфизики у Нины Николаевны и лично знать Ольгу Александровну (благодаря поддержке которой я и оказался в СПбГУ); правда, уроки на пользу не пошли, и при выборе научного пути матфизике я предпочел алгебру и информатику], фактически закрыли цикл исследований по 19-й и 20-й проблемам Гильберта. Эти фантастические достижения навсегда вписали Ольгу Александровну в историю математики. Но, на мой взгляд, не менее фантастическим является ее научное долголетие. До последних дней жизни (это не штамп и не преувеличение) Ольга Александровна активно занималась научной деятельностью, редактировала многочисленные научные сборники, участвовала в конференциях - и ушла из жизни 12 января 2004 года, немного не дожив до своего восемьдесят второго дня рождения…

Но вернемся к уравнениям Навье-Стокса. Аналитическому решению они не поддаются, однако проектировать подводные лодки и особенно самолеты (разумеется, движение воздуха описывается теми же уравнениями, только вязкость у воздуха гораздо меньше, чем у воды, - а, значит, турбулентность больше, и решать уравнения методом Ладыженской не получается) все-таки нужно. Что делать? Ответ прост и для физиков традиционен: решать уравнения приближенно. И здесь, конечно, компьютерные технологии пришлись ко двору. Возник целый раздел на грани матфизики и computer science - вычислительная динамика жидкостей и газов (computational fluid dynamics, CFD).

Wikipedia предлагает целую коллекцию ссылок на программные продукты (как коммерческие, так и свободные), реализующие различные задачи вычислительной динамики. Примечательно, что один из самых успешных проектов - система OpenFOaM (Open Field Operation and Manipulation) - начинал свой путь как коммерческий, закрытый продукт, а затем был переведен разработчиками под GPL. Наверное, его и можно порекомендовать желающим всерьез заняться этим направлением - для него написано множество расширений и библиотек, и благодаря открытой архитектуре проекта и активному сообществу разработчиков количество этих расширений увеличивается. А красивые картинки, например, получаются из Gerris Flow Solver, хотя, конечно, глаз вряд ли способен насладиться рисованными векторными полями так же, как видом трехмерной, играющей на солнце всеми красками радуги жидкости. Для всевозможных пакетов трехмерного моделирования написано множество CFD-плагинов, позволяющих добавлять в трехмерную сцену «физически точные» картины различных течений. Обычно они стоят немалых денег (например, RealFlow, плагин для 3DS MAX, продается по сверхнизкой цене всего лишь в 1080 долларов), но в России, как известно, цена софта - штука весьма и весьма условная…

Итак, подводим итоги. Уравнения Навье-Стокса - центральная проблема современной математической физики. Существуют целые конференции, посвященные исключительно этим уравнениям (например, конференция в Киото, запланированная на 2006 год, или петербургская конференция, прошедшая в 2002 году), и миллион долларов за их решение назначен не зря. Однако практические применения уравнений не очень сильно страдают от проблем с аналитичностью или единственностью решений. Самолеты, конечно, иногда падают, а подводные лодки тонут, но обычно это происходит по причинам, весьма далеким от уравнений Навье-Стокса - и, сдается мне, устранить эти причины куда труднее, чем решить какую бы то ни было задачу на миллион…

Природа: Люди и звезды

В лондонской Национальной галерее висит портрет человека, обозначенного как «пират и гидрограф». Звали его Уильям Дампир (William Dampier, 1651-1715). Один из тех, кого в эпоху Великих географических открытий равно влекли нажива и знание. Наемник. Неудачливый торговец. Пират. Офицер Королевского флота. Первый человек, трижды обогнувший земной шар. Его именем названы архипелаг и пролив. За книгу «New Voyage round the world» (1697) Дампир был избран членом Королевского общества. Его кузеном называл себя сам Лемюэль Гулливер. Карты Дампира использовал Джонатан Свифт при описании Лилипутии и земли гуингмов. А политический оппонент Свифта Даниэль Дефо положил в основу «Робинзона Крузо» историю Александра Селькирка, снятого с необитаемого острова Дампиром в путешествии 1703 года. И именно Дампир впервые, на заре метеорологии, в «A Discourse of Tradewinds, Seasons, Tides, d. c. in the Torrid Zone» на основе одного из своих судовых журналов описал мощь тропических ураганов.

Сегодня, как показали недавние события на берегах Мексиканского залива, даже самая развитая страна планеты так же уязвима перед мощью стихий, как и города конкистадоров и буканьеров эпохи парусных кораблей.

Как же возникают тропические ураганы? Где они берут свою силу?

Сначала - немного филологии и определений.

Слово ураган имеет два значения. По шкале Бофорта - это ветер в 12 баллов, со скоростью более 32,7 м/с, дующий, в отличие от шквала, длительное время.

А на берегах Мексиканского залива так называют тропические циклоны. Французское ouragan, через испанское huracan пришло из языка карибских индейцев, наблюдающих это явление веками. Если обычный циклон (от греческого kyklon - кружащийся) есть вращение атмосферных масс вокруг области низкого давления и имеет диаметр от 1000 до 3000 километров, то диаметр циклона тропического куда меньше - 300, редко 400 километров. В этих размерах наблюдается колоссальная концентрация энергии атмосферы. Именно концентрация! Ветры, порожденные тропическим циклоном, движутся со скоростью в среднем 60 м/с, часто достигая и рекордных значений в 120-150 м/с. В океане циклон гонит перед собой исполинскую волну. Попадая на мелководье, она становится все более крутой и высокой. Отсюда и гигантская разрушительная энергия ветра и волн, обрушивающихся на берег. Откуда же она берется?

  • Читать дальше
  • 1
  • ...
  • 28
  • 29
  • 30
  • 31
  • 32
  • 33
  • 34
  • 35
  • 36
  • 37
  • 38
  • ...

Ебукер (ebooker) – онлайн-библиотека на русском языке. Книги доступны онлайн, без утомительной регистрации. Огромный выбор и удобный дизайн, позволяющий читать без проблем. Добавляйте сайт в закладки! Все произведения загружаются пользователями: если считаете, что ваши авторские права нарушены – используйте форму обратной связи.

Полезные ссылки

  • Моя полка

Контакты

  • chitat.ebooker@gmail.com

Подпишитесь на рассылку: