Вход/Регистрация
Юный техник, 2002 № 03
вернуться

Журнал Юный техник

Шрифт:

Факультет готовит бакалавров и магистров по специальностям: «Приборостроение», «Метрология, стандартизация и сертификация», а также дипломированных инженеров и инженеров-менеджеров по специальностям: «Приборостроение», «Метрология и метрологическое обеспечение», «Информационно-измерительные системы и технологии», «Стандартизация и сертификация».

Факультет информационных технологий

Телефон: 973-3144

Факультет образован в 1991 году. В настоящее время готовит бакалавров и магистров по направлению «Информатика и вычислительная техника» и дипломированных инженеров по специальностям: «Прикладная математика», «Информационные системы в машиностроении», «Автоматизированные системы обработки информации и управления», «Системы автоматизированного проектирования», «Программное обеспечение вычислительной техники и автоматизированных систем».

Факультет экономики и менеджмента инновационных технологий

Телефон: (095) 973-3176, 972-9518

Факультет создан в 1994 году с целью подготовки высококвалифицированных специалистов экономического профиля для промышленных предприятий разных форм собственности. Уровень подготовки выпускников факультета в области экономики и менеджмента позволяет им быстро адаптироваться к конкретным условиям работы в различных рыночных структурах — банках, инвестиционных и страховых компаниях, финансовых институтах.

Подготовка студентов осуществляется по многоуровневой системе. Первый уровень — обучение на академическую степень бакалавра по направлению «Менеджмент», второй уровень — продолжение обучения по специальностям: «Экономика и управление на предприятии», квалификация — «Экономист-менеджер».

Специализированную подготовку обеспечивают кафедры: Производственного менеджмента, Правовых основ экономики, Экономической теории и основ предпринимательства, Экономики и организации производства, Финансового менеджмента.

Вечерний факультет

Телефон: 972-94-48.

Прием на факультет осуществляется по специальностям: «Технология машиностроения», «Инженерная защита окружающей среды в машиностроении», «Автоматизация технологических и производственных процессов и производств в машиностроении».

Подготовка к сдаче вступительных экзаменов проводится с 1 октября через подготовительные курсы и через вечернее подготовительное отделение (для лиц с большим стажем работы по специальности, выпускников родственных техникумов или лиц, отслуживших в рядах Российской армии).

ВНИМАНИЕ: КОНКУРС!

Ниже приведены тексты заданий по математике, соответствующие уровню 9 — 11-х классов общеобразовательных школ. Решение необходимо аккуратно выполнить на отдельных листах. На первом листе обязательно напишите печатными буквами фамилию, имя, отчество, полное название вашего учебного заведения, с указанием класса, в котором вы учитесь, ваш полный почтовый адрес с индексом. Решения необходимо выслать в редакцию «Юного техника» до 15 мая 2002 года. Победители будут награждены дипломами МГТУ Станкин, а выпускники 11-х классов приглашены на очный тур, победители которого будут зачислены в университет вне конкурса.

Право на участие в конкурсе дает анкета с первой страницы журнала. Заполните ее, вырежьте и вложите в конверт с решениями. Ответы без анкеты рассматриваться не будут. На конверте обязательно сделайте пометку: «Приемная комиссия».

9-й класс

1. Не решая уравнения х2 — 7х — 12 = 0, найдите сумму кубов его корней.

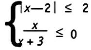
2. Решите систему неравенств

3. Первый член арифметической прогрессии равен — 8, разность равна 2. Сколько членов прогрессии, начиная с первого, надо взять, чтобы их сумма была больше числа 14?

4. Решите уравнение

5. На окружности х2 + у2 = 52 найдите точку, наиболее удаленную от точки М(2;3).

10-й класс

1. Найдите все значения а, при которых неравенство ax2 — ax + a > 0 верно при всех

2. Найдите все значения а, при которых система

имеет единственное решение.

3. Найдите все корни уравнения sin 6х = 2sin 6x, принадлежащие отрезку [0;/2]

4. Если второй из трех последовательных членов возрастающей геометрической прогрессии умножить на 5/3, то получатся три последовательных члена арифметической прогрессии. Найдите знаменатель геометрической прогрессии, при условии, что все ее члены отрицательны.

5. Площадь равностороннего треугольника ABC равна (3)1/2.

  • Читать дальше
  • 1
  • ...
  • 15
  • 16
  • 17
  • 18
  • 19
  • 20
  • 21
  • 22

Ебукер (ebooker) – онлайн-библиотека на русском языке. Книги доступны онлайн, без утомительной регистрации. Огромный выбор и удобный дизайн, позволяющий читать без проблем. Добавляйте сайт в закладки! Все произведения загружаются пользователями: если считаете, что ваши авторские права нарушены – используйте форму обратной связи.

Полезные ссылки

  • Моя полка

Контакты

  • chitat.ebooker@gmail.com

Подпишитесь на рассылку: