Вход/Регистрация
Транзистор?.. Это очень просто!
вернуться

Айсберг Евгений Давыдович

Шрифт:

15

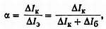
Это «усиление», обозначенное буквой , можно легко представить, записав, что

потому что Iэ = Iк+ Iб.

Разделив числитель и знаменатель на Iб, получим:

Отсюда видно, что меньше единицы. Выражение Iк/Iб, как мы помним, есть усиление по току в схеме с общим эмиттером, которое мы обозначаем буквой . Следовательно,

Для транзисторов с большим коэффициентом значение , приближается к единице, иначе говоря, изменения тока на выходе и входе примерно одинаковы.

16

Усиление по току в схеме с ОК

Как видно, в схеме с ОК усиление по току несколько больше, чем в схеме с ОЭ. Между коэффициентами усиления по току трех основных схем существует очень простое соотношение

17

В предшествующем примечании мы составили очень простое соотношение между коэффициентами усиления в трех основных схемах:

= ·

Следующая табличка позволяет выразить каждый из этих коэффициентов через два других:

18

Более глубокий анализ, учитывающий, в частности, выходное сопротивление первого транзистора, показал бы, что положение не столь катастрофично. Однако приведенные здесь рассуждения в первом приближении остаются в силе.

19

Изменяя смещение, мы сдвигаем нагрузочную прямую параллельно ей самой. Она сохраняет свой наклон, соответствующий данному сопротивлению нагрузки. Сопротивление коллекторной цепи постоянному току мало (это сопротивление провода первичной обмотки выходного трансформатора), так что среднее напряжение Uк на коллекторе не зависит от смещения. Таким образом, рабочая точка может переместиться из точки Р в точку Р', скользя по вертикальной линии.

20

Название «планарный» происходит от английского слова plane — плоский. — Прим. перев.

  • 1
  • ...
  • 67
  • 68
  • 69
  • 70
  • 71
  • 72

Ебукер (ebooker) – онлайн-библиотека на русском языке. Книги доступны онлайн, без утомительной регистрации. Огромный выбор и удобный дизайн, позволяющий читать без проблем. Добавляйте сайт в закладки! Все произведения загружаются пользователями: если считаете, что ваши авторские права нарушены – используйте форму обратной связи.

Полезные ссылки

  • Моя полка

Контакты

  • chitat.ebooker@gmail.com

Подпишитесь на рассылку: