Вход/Регистрация
Теоретические и экспериментальные методы исследования в химии
вернуться

Ананьев Максим Васильевич

Шрифт:

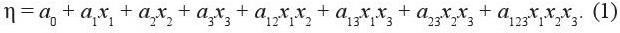
Рис. 1. Изображение 23– плана: латинский гиперкуб

Оси графика соответствуют трем факторам эксперимента, каждая точка плана встречается одинаковое количество раз на гранях латинского гиперкуба. Два уровня для каждого из трех факторов соответствуют минимальным и максимальным значениям, которые для удобства математической обработки кодируются как « – 1» и «+1». Использование 2n– плана (n = 3) позволяет применять регрессионную модель первого порядка для трех переменных. Таким образом, функция отклика, , будет иметь вид (1) с некоторыми коэффициентами ai, требующими определения:

Дополнительные точки плана могут быть введены как для проверки найденной регрессионной модели, так и для ее развития в случае, когда модель первого порядка недостаточна для описания экспериментальных данных. При этом дополнительные точки могут как входить (например, центр плана), так и не входить в область плана первого порядка. В последнем случае эксперимент в них реализуется при установлении факторов за пределами варьирования. План с одной областью планирования можно перестроить в план с другой областью планирования. Чаще всего дополнительные точки подбирают, исходя из двух условий: 1) не выходить за пределы единичного гиперкуба; 2) не выходить за пределы единичной гиперсферы.

Построение плана эксперимента можно интерпретировать как выбор строк матрицы планирования, их числа и последовательности проведения. Этот выбор осуществляется различными способами, что приводит, соответственно, к различным результатам: коэффициенты могут быть оценены с разной точностью, а предсказанные регрессионной моделью значения отклика получатся с разными дисперсиями. В зависимости от того, какие требования предъявляет экспериментатор к модели, возможен переход к той или иной матрице планирования. Формализация этих требований связана с критериями оптимальности.

В настоящий момент используют более 20 критериев оптимальности. Рассмотрим некоторые из них.

Критерий D– оптимальности представляет интерес для задач о выделении доминирующих параметров на начальных этапах (задач факторного анализа) или для выявления несущественных параметров. Этот критерий требует такого расположения точек плана, которое соответствовало бы минимальному объему эллипсоида рассеяния ошибок (минимума произведения всех дисперсий коэффициентов полинома).

Критерий A– оптимальности требует такого выбора точек в области планирования, при котором была бы минимальна суммарная дисперсия всех коэффициентов модели.

Критерий E– оптимальности соответствует минимуму максимальной дисперсии коэффициентов.

Критерии D-, A- и E– оптимальности образуют так называемую первую группу критериев, связанных с ошибками определения коэффициентов регрессионной модели. Выбор критерия зависит от задачи. Так, для изучения влияния отдельных факторов используют критерий E– оптимальности. При поиске оптимума функции отклика – D– оптимальности. Если построение плана с использованием критерия D– оптимальности вызывает затруднения, переходят к более простому критерию A– оптимальности.

Вторую группу критериев образуют критерии для задач описания поверхности отклика, определения ограничений для значений параметров функции отклика. Основным критерием здесь является критерий G– оптимальности, который требует такого построения точек экспериментального плана, когда достигается минимальное значение максимальной дисперсии оценки функции отклика.

  • 1
  • 2

Ебукер (ebooker) – онлайн-библиотека на русском языке. Книги доступны онлайн, без утомительной регистрации. Огромный выбор и удобный дизайн, позволяющий читать без проблем. Добавляйте сайт в закладки! Все произведения загружаются пользователями: если считаете, что ваши авторские права нарушены – используйте форму обратной связи.

Полезные ссылки

  • Моя полка

Контакты

  • chitat.ebooker@gmail.com

Подпишитесь на рассылку: