Вход/Регистрация
Истоки
вернуться

Алданов Марк Александрович

Шрифт:

И только конец разговора (если это можно было назвать разговором) Черняков запомнил совершенно точно. Достоевский вдруг перед ним остановился, — Михаил Яковлевич, давно замолчавший, только смотрел на него испуганно. Гипнотизер как будто успокоился. Он тоже немного помолчал.

— На каторгу бы вас надо, — сказал он неожиданно совершенно иным голосом, уже без прежней ярости, а спокойно, ласково, почти задушевно.

— Как?

— Говорю, хорошо было бы вам пойти в каторжные работы. Я вам давеча сказал, будто на каторге был ад. Не верьте мне, это ложь. То есть, ад-то был, но я за истинное счастье считаю, что побывал в этом аду. Я там Христа нашел, и за это одно вечно буду благодарен Николаю. Все я принял в жизни и за все, за все, до последнего дня буду благодарить Господа! Я на каторге понял жизнь. И вам от души желаю поскорее попасть в каторжные работы. Вы вернетесь и перерожденным, и счастливым, и многое понимающим человеком.

Но как ни был Черняков взволнован, озадачен и расстроен, он не хотел идти для счастья в каторжные работы и лишь молча смотрел на своего собеседника тем же, почти бессмысленным взглядом.

Довольно далеко от кабинета послышался плач ребенка. Хозяин дома изменился в лице и поспешно вышел. Михаил Яковлевич стал приходить в себя. Минуты через две из соседней комнаты послышался разговор: — «Да что ты, Федя! Нельзя же так расстраиваться из-за пустяка! Подождем до завтра, право?» — «Ничего не подождем!» — «Да Леша здоровый мальчик. Зачем ты волнуешься?» — «Сейчас же, сию минуту надо послать за доктором!» — говорил взволнованный глухой голос.

Михаил Яковлевич на цыпочках вышел в переднюю, надел пальто и вернулся в кабинет. На пороге появился хозяин. Лицо у него было совершенно белое. Черняков простился и ушел так же на цыпочках, бесшумно затворив за собою дверь, с облегчением покидая этот мрачный дом. Недели через три Михаил Яковлевич узнал, что маленький сын Достоевского умер от падучей болезни.

ЧАСТЬ ПЯТАЯ

I

УЧАСТЬ СОЕДИНЕННЫХ ШТАТОВ

«Пишущий эти строки не с легким сердцем делится с читателями своими выводами о будущем Соединенных Штатов. Выводы эти сложились в результате „ума холодных наблюдений — и сердца горестных замет“. Что ж делать, надо смотреть правде в глаза.

В моей первой статье я как мог описал ужасное положение вещей в южных штатах, бесчинства так называемых карпетбаггеров [83] , преступления Ку-Клукс-Клана. Клаузевиц цинично, но справедливо сказал, что по существу политика есть продолжение войны, только другими способами. Гражданская война в Америке продолжается, и взаимная ненависть, вероятно, теперь больше, чем была при Линкольне. Она вообще не может ни исчезнуть, ни, боюсь, даже ослабеть. Под названием Соединенных Штатов (вернее было бы говорить: «Разъединенные Штаты») скрываются два разных государства, из которых одно завоевало другое. На штыках сидеть нельзя, и второе государство, вероятно, скоро освободится, при благосклонной — о, разумеется, совершенно бескорыстной! — поддержке некоторых западных держав (об этом ниже).

83

Карпетбаггерами называли северян, искавших легкого обогащения на Юге после окончания Гражданской войны в США. Все свое имущество они носили в ковровом мешке за спиной.

В настоящей заключительной своей статье я хотел бы остановиться на проблемах общего характера. Заранее, не обинуясь, предупреждаю читателей, что вынужден буду утомить его цифрами.

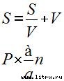
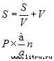
Пишущий эти строки оценивает общественные явления с точки зрения учения известного немецкого экономиста Карла Маркса. Люди, читавшие «Капитал» (к сожалению, пока вышел только первый том этого гигантского труда), знающие главы о прибавочной ценности и о капиталистическом накоплении, без сомнения помнят формулу:

где S означает массу прибавочной стоимости, s массу прибавочной стоимости, поставляемую отдельным рабочим, v переменный капитал, ежедневно авансируемый для приобретения индивидуальной рабочей силы, V общую сумму переменного капитала, Р стоимость средней рабочей силы, степень эксплуатации а (прибавочная работа), а число рабочих n.

Недостаток места, к сожалению, лишает пишущего эти строки возможности остановиться на раскрытии выводов из этой грозной формулы Маркса, — отсылаю читателей к соответственным главам «Капитала». Скажу лишь, что это поистине «Мане-Текел-Фарес» [84] на стене капиталистического хозяйства и соответствующего ему политического строя…»

84

Знак гибели. По библейскому преданию, вавилонский царь Валтасар устроил пиршество в разгар осады Вавилона войсками персидского царя Кира. Во время торжеств на стене зала появились эти таинственные слова, предвещавшие гибель и царю, и городу: м е н е — исчислил Бог царство твое и положил конец ему; т е к е л — ты взвешен на весах и найден очень легким; Перес — разделено царство твое и дано мидянам и персам (Книга пророка Даниила, V, 26—28).

Николай Сергеевич перечел в кофейне начало статьи, вздохнул, отпил глоток чаю и задумался. Формула, собственно, была в статье ни к чему. Но ему не хотелось ее вычеркивать.

Первая статья, напечатанная им в большом петербургском журнале, доставила ему одну из лучших радостей всей его жизни. Он перечитал ее раз десять и, если б не две ужасные, позорные опечатки, был бы счастливым человеком. За первой статьей последовали другие, — радость уже была меньше. Эта статья, которую он должен был в тот же день отправить в редакцию из Нью-Йорка, ему не нравилась.

Цирк имел немалый успех в Филадельфии на выставке, устроенной по случаю столетия Декларации Независимости, затем переехал в Нью-Йорк, где успех был меньше. Делать в цирке Мамонтову было нечего. «Так и непонятно, зачем я с ними поехал! И с Катей ничего у меня не будет, пока она не расстанется с Карло», — все чаще говорил он себе.

На стенах кофейни в Ист-сайде висели портреты Костюшко, Мицкевича, Кошута, Вейтлинга, Карла Шурца (которого, впрочем, многие завсегдатаи недолюбливали). Николай Сергеевич уже знал большинство завсегдатаев. Все они были политические эмигранты, все в Европе в чем-то участвовали, все писали брошюры, все считались знаменитостями. Однако, несмотря на излучения мании величия, в кофейне было уютно. Чай подавали в стаканах, можно было получить «кофе по-варшавски», печенье было венское, на деревянных палках на стене висели европейские газеты, немец лакей, тоже эмигрант, но без литературного таланта, знал, кто анархист, кто социалист, кто оставляет на чай пять центов, кто десять, кто в двенадцатом часу ночи закажет сосиски, а кто бутерброд с сыром, кому подавать светлое пиво, кому темное. Чернильницы и перья он немедленно приносил всем. На столике у входа продавались брошюры. Авторы тут же их надписывали с благосклонно-равнодушным видом.

  • Читать дальше
  • 1
  • ...
  • 62
  • 63
  • 64
  • 65
  • 66
  • 67
  • 68
  • 69
  • 70
  • 71
  • 72
  • ...

Ебукер (ebooker) – онлайн-библиотека на русском языке. Книги доступны онлайн, без утомительной регистрации. Огромный выбор и удобный дизайн, позволяющий читать без проблем. Добавляйте сайт в закладки! Все произведения загружаются пользователями: если считаете, что ваши авторские права нарушены – используйте форму обратной связи.

Полезные ссылки

  • Моя полка

Контакты

  • chitat.ebooker@gmail.com

Подпишитесь на рассылку: