Вход/Регистрация
Большая пятерка для жизни. Как найти и реализовать свое предназначение
вернуться

Стрелеки Джон

Шрифт:

Я написал эти пять вопросов на листке, который дала мне Соня.

– Итак, – сказал я и протянул ей листок. – Заполните эту форму. Один балл – низшая оценка на шкале, десять – высшая. Так, например, в первом вопросе – «Приходя на работу в понедельник утром, люди полны энтузиазма» – единица будет указывать на полное отсутствие энтузиазма, а десятка – на крайнее воодушевление. Потом подсчитайте общую сумму в конце и умножьте на два. Это дает нам легкий способ вычислить продуктивность по шкале от одного до ста.

Я подождал пару минут, пока Соня вписывала свои ответы.

– И что у вас получилось?

Она провела пальцем по ответам на листке.

– Шесть – на первый вопрос, семь – на второй, семь – на третий, восемь – на четвертый и шесть – на пятый. Итак, складываем и умножаем на два… – она посмотрела на меня. – Шестьдесят восемь. Это правильный ответ?

Я улыбнулся.

– Блестяще. На самом деле правильных и неправильных ответов нет. Просто такое число получилось для той компании, в которой вы работаете, или – в нашем примере – для среднего человека в нашей среднестатистической компании.

– И что теперь?

– А теперь мы возвращаемся к первоначальным наблюдениям в отношении нашей средней компании. Мы уже вычислили, что каждый служащий генерирует 200 000 долларов в год для общего чистого дохода. И, основываясь на том, что вы только что вычислили, они генерируют этот доход при 68-процентной продуктивности. И вот на этом-то Томас делает кучу денег в своих компаниях. С самого начала он понял: когда люди получают деньги за работу, которая их удовлетворяет, они более продуктивны – по сравнению с той, которая их не удовлетворяет. Неудивительно, верно? Если взглянуть на эти вопросы, очень легко понять, как вырастут цифры в ответах, если средний человек будет тратить свое время на то, что каким-то образом приносит ему удовлетворение.

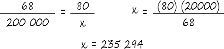
Но в этом и заключается то самое большое «Ага!». Скажем, те шестьдесят восемь процентов, которые вы вычислили, выросли всего лишь до восьмидесяти процентов. Итак, при 68-процентной продуктивности каждый служащий генерирует 200 000 долларов в чистый доход компании. Проводим простейший алгебраический расчет… – я записал на Сонином листке формулу:

– И мы видим, что при 80-процентной продуктивности те же самые служащие теперь генерируют свыше 234 294 долларов на человека в год. Что означает, поскольку у компании «Эверидж Ко» есть тысяча служащих, компания только что увеличила свой доход на…

– …более чем 35 миллионов, – подхватила Соня.

– Верно. И это не общий доход, это прибыль. Большая прибыль.

Соня взяла лист бумаги, на котором я писал, и вгляделась в цифры.

– Так как же перейти от шестидесяти восьми к 80-процентной продуктивности?

– Хороший вопрос, – похвалил я. – Запомните пока эту мысль, поскольку я хочу показать вам другую упомянутую мной область. Помните, я говорил, что продуктивность – одна из возможностей, а другая – кадровая текучка? Уровни текучки сильно варьируются в зависимости от индустрии. В профессиональном консультировании она может составлять около пятнадцати процентов. А на работе вроде колл-центра она может достигать пятидесяти пяти процентов. Для нашего примера давайте выберем что-то среднее для нашей средней компании. Как, подойдут вам двадцать четыре процента?

– Звучит неплохо.

– Хорошо. Итак, и здесь компании Томаса делают существенный вклад в свою общую прибыль. 24-процентный уровень текучки означает, что каждый год из «Эверидж Ко» уходят 240 человек. В большинстве компаний такие цифры не привлекают особого внимания. Почему?

Соня взглянула на меня.

– Честно? Прежде всего, все к этому привыкли. Если речь идет о количестве людей, которые уходят из компании в среднем, то, когда они уходят, никто на самом деле этого не замечает. Во-вторых, это не привлекает особого внимания потому, что расходы идут в основном из бюджета отдела кадров, а в большинстве компаний отдел кадров не рассматривается как серьезный фактор, влияющий на прибыльность компании в целом.

Я улыбнулся.

– Согласен. Между прочим, руководители всех уровней говорили мне, что, когда кто-то уходит из компании, это не так уж плохо, потому что зарплата сохраняется в бюджете. Но от их довольства не остается и следа, когда я объясняю им то, что сейчас объясню вам. Какими оказываются затраты каждый раз, когда один человек покидает «Эверидж Ко», а другой приходит на его место?

Соня оперлась подбородком на руку.

– Ну, в каждой компании по-разному, но в целом наем нового работника влетает в копеечку. Приходится размещать объявления о найме или платить рекрутинговым фирмам или хедхантерам. И когда нанимаешь нового сотрудника, его подготовка тоже чего-то стоит.

– Вы правы, это определенно два вида расходов. И они сильно вредят компаниям в пересчете на прибыль. Но даже это бледнеет в сравнении с еще большим ударом по продуктивности, – я посмотрел на нее. – Как думаете, насколько продуктивен работник в течение трех месяцев перед уходом с работы, которая ему не нравится?

Соня рассмеялась.

– Вы хотите, чтобы я сказала, опираясь на личный опыт, или предположила, насколько продуктивны должны быть другие люди?

– Личный опыт, конечно же, предпочтительнее.

  • Читать дальше
  • 1
  • ...
  • 4
  • 5
  • 6
  • 7
  • 8
  • 9
  • 10
  • 11
  • 12
  • 13

Ебукер (ebooker) – онлайн-библиотека на русском языке. Книги доступны онлайн, без утомительной регистрации. Огромный выбор и удобный дизайн, позволяющий читать без проблем. Добавляйте сайт в закладки! Все произведения загружаются пользователями: если считаете, что ваши авторские права нарушены – используйте форму обратной связи.

Полезные ссылки

  • Моя полка

Контакты

  • chitat.ebooker@gmail.com

Подпишитесь на рассылку: