Вход/Регистрация
  1. библиотека Ebooker
  2. Образование и наука
  3. Книга "Готовые дидактические материалы для тренировки устного счета: теорема Виета. 600 примеров"
Готовые дидактические материалы для тренировки устного счета: теорема Виета. 600 примеров
Читать

Готовые дидактические материалы для тренировки устного счета: теорема Виета. 600 примеров

Усенков Дмитрий Юрьевич

Образование и наука

:

учебная и научная литература

.
Аннотация

Теорема Виета позволяет быстро находить решения квадратных уравнений, не прибегая к вычислениям с использованием дискриминанта, однако учебно-методических материалов для отработки навыков поиска корней по формуле Виета имеется крайне мало. Данное пособие призвано хотя бы частично устранить этот дефицит и содержит 600 готовых примеров квадратных уравнений с целыми корнями, а также ответы на эти примеры для проверки и самоконтроля.

Пособие предназначено для учителей математики, школьников и их родителей.

Предисловие

Теорема Виета, сформулированная французским математиком Франсуа Виетом, дает возможность в отдельных случаях (для целых и, иногда, для дробных значений корней) быстро находить решения квадратных уравнений, не прибегая к вычислениям с использованием дискриминанта. В школьной алгебре теорема Виета (формула Виета) играет такую же ведущую роль, как и теорема Пифагора в геометрии, однако учебно-методических материалов для отработки навыков поиска корней по формуле Виета имеется крайне мало.

Данное пособие призвано хотя бы частично устранить этот дефицит и содержит 600 готовых примеров квадратных уравнений с целыми корнями, а также ответы на эти примеры для проверки и самоконтроля.

При использовании в классно-урочной форме работы учитель может использовать текст пособия в качестве готового раздаточного материала, а после выполнения работы учащимися произвести проверку по имеющимся готовым ответам.

При использовании пособия для самостоятельной подготовки вы можете использовать ответы для самопроверки после решения выбранных примеров.

Ответы записаны в форме разложения квадратного уравнения на множители; если требуется получить значения самих корней, то нужно константные слагаемые в скобках брать с противоположными знаками.

Примечание. При использовании формулы Виета дискриминант квадратного уравнения должен быть неотрицательным. В случае, если дискриминант равен нулю, считается, что данное уравнение имеет два равных друг другу корня.

Теорема Виета (краткие теоретические сведения)

Формулировка теоремы Виета:

Сумма корней x2 + bx + c = 0 равна второму коэффициенту с противоположным знаком, а произведение корней равняется свободному члену.

Таким образом, если уравнение x2 + bx + c = 0 имеет два корня: x1 и x2, то справедливы следующие два равенства:

Согласно этим равенствам, для получения решения квадратного уравнения необходимо подбором найти два числа, сумма которых равна коэффициенту при x, взятому с обратным знаком, а произведение равно свободному члену. Следует заметить, что при этом исходное квадратное уравнение должно быть приведено к виду, когда коэффициент a при x2 равен единице.

Доказательство теоремы Виета

Докажем теорему Виета.

Формулы для вычисления корней квадратного уравнения (рассматривается ситуация, когда дискриминант D положителен; уравнение с нулевым дискриминантом можно считать частным случаем):

Вычислим сумму этих корней:

Раскрыв скобки и сократив слагаемые, получаем:

.

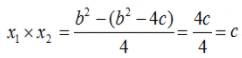
Вычислим произведение корней:

Применив в числителе формулу разности квадратов, получаем:

Подставляем известную нам формулу для вычисления дискриминанта:

Получаем:

Таким образом, оба равенства теоремы Виета доказаны.

Обратная теорема Виета

Формулировка обратной теоремы Виета:

Если числа x1 и x2 таковы, что их сумма равна второму коэффициенту уравнения x2 + bx + c = 0, взятому с противоположным знаком, а их произведение равно свободному члену, то эти числа являются корнями x2 + bx + c = 0.

  • Читать дальше
  • 1
  • 2
  • 3
  • 4
  • 5
  • 6
Купить и скачать
в официальном магазине Литрес

Без серии

Проверим алгебру гармонией, или Как создать «3D на асфальте»
Как создать видеоурок: запись с экрана
Учебный проект: оформление реферата
360-градусные панорамы – своими руками
Занимательные задачи по программированию обработки растровой графики
Готовые дидактические материалы для тренировки устного счета: теорема Виета. 600 примеров
Занимательное программирование – игры с текстом
«Удивительные люди», стереоскопия и «компарация» изображений
Сборник задач по программированию двумерных массивов
Microsoft Access: учимся создавать простые запросы

Ебукер (ebooker) – онлайн-библиотека на русском языке. Книги доступны онлайн, без утомительной регистрации. Огромный выбор и удобный дизайн, позволяющий читать без проблем. Добавляйте сайт в закладки! Все произведения загружаются пользователями: если считаете, что ваши авторские права нарушены – используйте форму обратной связи.

Полезные ссылки

  • Моя полка

Контакты

  • chitat.ebooker@gmail.com

Подпишитесь на рассылку: