Вход/Регистрация
Маркетинг образования
вернуться

Кучеренко Владимир Ильич

Шрифт:

где Ко – коэффициент открытости образования; Чф – численность студентов, обучающихся в филиалах вузов других регионов, тыс. человек; Чрег – численность студентов, обучающихся в вузах региона, тыс. человек.

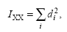
Индекс Херфиндаля–Хиршмана на рынке образовательных услуг. Характеризует уровень монополизма на данном рынке, во многом дополняет предыдущий показатель. Максимальное значение индекса 10 000. Чем ниже уровень монополизации, тем меньше значение индекса. Если высокое значение индекса Херфиндаля–Хиршмана сочетается с низким значением индекса образовательной открытости, то это свидетельствует о крайней неразвитости рынка образовательных услуг региона. Применительно к рассматриваемому рынку индекс Херфиндаля–Хиршмана будет иметь вид

где di2 – доля i–го вуза на рынке образовательных услуг региона, %.

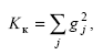
Коэффициент концентрации населения региона. Чем большая часть населения региона проживает в крупных населенных пунктах, тем больше возможностей очного обучения. В противном случае более предпочтительна заочная форма. Это необходимо учитывать при формировании образовательных программ и учебных планов, системы маркетинга. Расчет коэффициента концентрации может быть произведен по формуле

где gj2 – доля j–го населенного пункта с численностью населения 100 тыс. человек и более в общей численности населения региона.

Чем меньше коэффициент концентрации, тем больше степень рассредоточения населения по небольшим населенным пунктам. Если низкий индекс образовательной открытости сопровождается высоким значением индекса Херфиндаля–Хиршмана и низким значением коэффициента концентрации, то это значит, что регион является проблемным в развитии рынка образования. Если при упомянутых характеристиках коэффициент концентрации высок, то, напротив, регион можно считать перспективным в рассматриваемом аспекте.

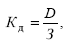
Коэффициент соотношения среднегодовых доходов населения и затрат по видам образовательных услуг. Привлекательность региона во многом зависит от уровня доходов его населения, причем важным является не только их абсолютный уровень, но и соотношение с годовыми затратами на обучение по видам образовательных услуг. Данный коэффициент соотношения доходов на душу населения может быть определен по формуле

где D – средний годовой уровень доходов на душу населения, руб.; 3 – средний годовой уровень затрат в расчете на одного обучающегося, руб.

Чем больше коэффициент соотношения, тем более привлекателен регион по развитию образовательного бизнеса.

Индекс приоритетного расходования средств на образование. Данный показатель характеризует склонность населения региона к направлению средств на получение образовательных услуг. Индекс определяется по формуле

где Ррег – доля расходов на образование в совокупных расходах населения j–го региона; Ррф – аналогичный показатель в целом по России.

Чем больше данный коэффициент, тем более привлекателен регион.

Индекс опережения темпов экономического роста региона. Данный показатель характеризует динамику экономических процессов в регионе в сравнении с аналогичной динамикой в целом по стране. Чем выше экономическая активность, тем больше темпы нарастания потребности в новых рабочих местах, выше доходы населения региона и, следовательно, выше потребность в образовательных услугах. Индекс опережения темпов экономического роста региона предлагается рассчитывать по формуле

где IВРП – темп роста внутреннего регионального продукта, %; IВВП–темп роста валового внутреннего продукта в целом по стране, %.

Индекс возрастной структуры населения. Данный индекс характеризует соотношение доли населения в возрасте до 35 лет в общей численности населения региона и аналогичного показателя по стране в целом. Лица в возрасте до 35 лет являются наиболее активной частью населения в смысле получения образования, а также повышения квалификации. Индекс возрастной структуры населения региона расчитывается по формуле

где Брег – доля населения региона в возрасте до 35 лет, %; БРф–доля населения России в возрасте до 35 лет, %.

Индекс образовательной структуры населения представляет собой отношение численности населения, имеющего высшее, незаконченное высшее и среднее профессиональное образование, к общей численности населения с аналогичным образованием в целом по России:

  • Читать дальше
  • 1
  • ...
  • 43
  • 44
  • 45
  • 46
  • 47
  • 48
  • 49
  • 50
  • 51
  • 52
  • 53
  • ...

Ебукер (ebooker) – онлайн-библиотека на русском языке. Книги доступны онлайн, без утомительной регистрации. Огромный выбор и удобный дизайн, позволяющий читать без проблем. Добавляйте сайт в закладки! Все произведения загружаются пользователями: если считаете, что ваши авторские права нарушены – используйте форму обратной связи.

Полезные ссылки

  • Моя полка

Контакты

  • chitat.ebooker@gmail.com

Подпишитесь на рассылку: