Вход/Регистрация
Уравнение с Бледного Нептуна
вернуться

Емцев Михаил Тихонович

Шрифт:

— И все. Больше ничего не было… Только уже здесь, на Земле, готовя доклад отделению физико-математических наук Академии, я изготовил несколько отпечатков с запечатленных в блоках синемапамяти картин.

Крабовскому опять показалось, что Марк испытывает какую-то мучительную борьбу с самим собой.

— Послушай, Марк, послушай старика, мальчик, если тебе трудно сказать мне правду, не говори. Я не обижусь. Но если ты решил поделиться со мной своей тайной, то… В общем я всегда пойму тебя.

Крабовский умолк, чтобы не высказать слишком много из того, что накопилось у него в сердце за долгие годы одиночества и ожидания.

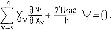
— Я знаю это, дядя, — тихо сказал Марк, — но… Это случилось в тот момент, когда моя разведракета возвращалась на звездолет. У меня было чудесное настроение. Я тихо насвистывал что-то очень веселое… Это был узкий пучок какой-то лучистой энергии. Он возник откуда-то из пространства; не с поверхности Бледного Нептуна. В этом я уверен. Тихо зажужжал моторчик синемапамяти. Киберы включили ее сами, без меня. Они запрограммированы на всякие неожиданности… Потом началась цепь глупейших ошибок и нелепых случайностей. То ли по легкомыслию, то ли еще почему, сейчас я сам не понимаю, но я не заинтересовался этим явлением. Может быть, я решил, что за ним кроется такая же простая физическая сущность, как и за свечением критического азота? Не знаю. Но это была моя основная ошибка. Решив, что энергетический луч — какое-нибудь метеорное явление в атмосфере Бледного Нептуна, я не проанализировал его спектр и, главное, до самой Земли не прокрутил запись на экране синемапамяти! А она хранила удивительные вещи. Одна формула чего стоит. Она написана нашими, земными математическими символами! Она и знакома и не знакома нам. Первый член такой же, как в уравнении Дирака-Гейзенберга. Впрочем, смотри сам…

Резким движением Марк достал из кармана несколько снимков и. передал их Крабовскому. Профессор же не мог даже рта закрыть, настолько ошеломительным был смысл залпом обрушившихся на него слов. Марк, видимо, понял состояние дяди, так как сам, вероятно, пережил нечто подобное.

— Знаешь что, дядя, — сказал он ласково, — ты посмотри снимки один, успокойся, подумай, я приду к тебе завтра утром,

Марк настолько быстро выскочил из кабинета, что Крабовский не успел бы удержать его, даже если бы захотел.

Вот уже четыре часа профессор разглядывает снимки. На них изображены смятые, небрежно исписанные листки бумаги с математическими выкладками. Последняя формула заключена в рамку. Вероятно, это конечный вид уравнения.

Есть только три уравнения, которые похожи на эту формулу. Чтобы вспомнить их, Крабовскому не нужно листать справочники или запрашивать электронную память. Он мог бы написать их с закрытыми глазами. Профессор записывает уравнения на отдельных листках и укладывает эти листки рядом со снимками Марка.

Порыв ветра распахивает форточку. В кабинет врывается прохладное и свежее дыхание марта. Но Крабовский не замечает ничего вокруг. Им овладело прошлое; ураганным вихрем оно ворвалось в мозг и понеслось по невидимым полочкам памяти.

Профессор смотрит на уравнения, грызет пластмассовый наконечник ручки и рассуждает вслух — привычка, появившаяся у него за годы одиночества:

— Прежде всего линейное уравнение Дирака, описывающее поведение дебройлевских — спинорных волн электронов. Вот оно…

Первый член этого уравнения и таинственной формулы совпадает. В 1938 году Иваненко применил дираковское уравнение для описания первичной материи. Новый вариант отличался от предыдущего наличием нелинейного члена:

Оно записано на втором листочке:

Этот вариант еще более напоминает формулу с Бледного Нептуна. Оба уравнения совершенно однозначны относительно волновой функции. Разница лишь во втором члене.

Наконец, есть еще одно нелинейное уравнение. В прошедшие времена его называли «Уравнением Мира» или просто уравнением Гейзенберга.

Здесь второй член вообще выброшен. А первый и третий одинаковы с уравнением, изображенным на снимке. Вот и все, что я знаю об уравнении с Бледного Нептуна. Если это не мистификация, не грубая и нелепая ошибка, то… я не знаю, что это! Как могло попасть земное и вместе с тем никому не известное на Земле уравнение в чужую звездную систему? Нет, это совершенно невозможно! Но все же… От этого буквально раскалывается голова.

Крабовский неторопливо поднялся из-за стола и прошелся по кабинету. Так ничего и не придумав, он вновь возвратился к столу. Промучившись еще часа, два, он придвинул к себе аппарат видеофонной связи и набрал номер кафедры. На экране возникло полное красивое лицо аспиранта Володи Волкова.

— Здравствуйте, Володя…

Юноша улыбнулся и поздоровался.

— Володя, я сегодня себя плохо чувствую и не смогу быть на семинаре. Попросите Александра Максимовича, чтобы он меня заменил… И вот еще что… Я сейчас дам вам одну формулку. Поезжайте с ней в вычислительный центр, пусть ее срочно закодируют. Потом зайдите в Центральное хранение и отдайте им код с алгоритмами.

  • Читать дальше
  • 1
  • 2
  • 3
  • 4
  • 5
  • 6
  • 7
  • 8
  • ...

Ебукер (ebooker) – онлайн-библиотека на русском языке. Книги доступны онлайн, без утомительной регистрации. Огромный выбор и удобный дизайн, позволяющий читать без проблем. Добавляйте сайт в закладки! Все произведения загружаются пользователями: если считаете, что ваши авторские права нарушены – используйте форму обратной связи.

Полезные ссылки

  • Моя полка

Контакты

  • chitat.ebooker@gmail.com

Подпишитесь на рассылку: