Вход/Регистрация
Учебники для волшебника
вернуться

Гуревич Георгий Иосифович

Шрифт:

Директор слушал, покачивая головой:

— Однако размахнулся ты, братец. Тут на сто лет работы. От миллиграммов к тоннам. Девять порядков. Целая эпоха.

— Атомщики прошли эту эпоху за семь лет,- напомнил Гурьянов.- В 1938 году открыли деление атомов урана, в 1945-м — испытали бомбу.

— Тогда война была. Вопрос жизни и смерти.

— А сейчас твердый мир. Мы богаче и щедрее. И если не станем скупиться на науку, результат будет вот когда…

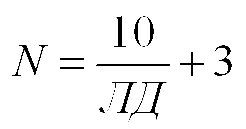
Он подвинул к шефу листочек с формулой:

— Что обозначил буквами?

— N– годы, Л– люди, Д– деньги. Если нам дадут сто миллионов и сто тысяч человек в год, через десять лет будет темпокамера. Плюс три- это три года на хлопоты: убеждать, чтобы дали людей и деньги.

— Однако размахнулся ты, парень,- повторил директор.- В сущности, как я могу решить? Л не в моем распоряжении и Д– тоже. Но тройку дать могу. Получаешь три года на хлопоты, давай, начинай убеждать.

Остальное можно изложить в одной фразе: Гурьянов выполнил план Гурьянова: убедил за три года, получил Л и Д и за N лет изготовил темпокамеру.

Можно рассказать и чуть подробнее- на двух страничках. Можно и в ста томах — материала хватит.

Действительно, около трех лет Гурьянов выступал как адвокат идеи: устно- с пламенными речами и письменно- с пламенными статьями, убеждал мир и Госплан, что пора браться за покорение своевольного времени.

Мир и Госплан высказывали сомнение. И винить их нельзя. Сто тысяч человеко-лет и сто миллионов на улице не валяются.

Но все же средства поступили и люди вдохновились. И в результате через N лет (при N, равном 13) была создана модель темпокамеры: маленькая бутылочка, как бы флакон для духов, обвитый тончайшей золотой паутинкой (золото — наилучший проводник и одновременно плотный металл- компактный склад массы), и на ней совсем маленькое горлышко, тоже обвитое золотой проволочкой.

А весь показательный опыт, на который были затрачены около миллиарда рублей и миллион человеко-лет, свелся к тому, что бутылочка как бы вывернулась наизнанку: сама стала в десять раз меньше, а горлышко — в десять раз больше. Потом, час спустя, ее еще раз вывернули наизнанку и вынули положенные внутрь ручные часы. За час часы ушли на десять часов вперед.

Надо пояснить? Вы не догадались? Когда бутылочка уменьшалась в десять раз, время в ней ускорилось. При этом выделялась масса. Массу поглощало горлышко, раздуваясь. Потом из горлышка масса поступила обратно, бутылочка выросла до нормального размера, время вернулось к нормальному темпу.

В сущности, модель решила все. Теперь нужны были только масштабы: больше золота, больше энергии… но никаких новых проблем.

В других случаях переход к иному масштабу был нелегок.

В других случаях не удавалось сделать модель. Модель атомной бомбы не взорвалась бы. Модель космической ракеты не вылетела бы в космос. Темпокамера допускала плавную постепенность.

Бутылочка, стакан, ведро, бак… Уменьшение в полтора раза, в два, в три, в пять, в двадцать раз.

Вслед за часами в мир высоких скоростей отправили приборы, модели машин, пробирки с разными веществами, с бактериями, цветы, насекомых, мышей, собак…

И вот настал день, когда Гурьянов сказал:

— Товарищи, подходит очередь человека. Продумайте требования и подбирайте кандидатов.

Глава 10. ИПЫТАНИЕ

(Александр Куницын)

Испытание было назначено на 12 апреля — в честь Дня космонавтики, память о полете Юрия Гагарина.

Примерно за месяц до срока Гурьянов приехал в зимний лагерь, где тренировались будущие темпонавты.

Инструктор выстроил их на линейке — одиннадцать крепких румяных парней, отрапортовал: «Группа готовится к лыжному походу с ночевкой. По списку одиннадцать, налицо — одиннадцать. Больных нет».

Здоровые, румяные, молодые и все разные. На правом фланге долговязый жилистый, рядом с ним богатырь-тяжеловес, косая сажень в плечах, на левом — маленькие, подвижные, улыбчивые.

В космонавты брали сначала только летчиков. Естественно, там полет и тут полет. Нужны были быстрые, активные, с хорошей реакцией, крепкие люди. Для темпонавтики важнее была выносливость, привычка работать в непривычных условиях. В группе собраны были подводники, водолазы, шахтеры, металлурги. Подводники — малогабаритные, водолазы — могучие, сухопарые — литейщики, жилистые — шахтеры.

  • Читать дальше
  • 1
  • ...
  • 21
  • 22
  • 23
  • 24
  • 25
  • 26
  • 27
  • 28
  • 29
  • 30
  • 31
  • ...

Ебукер (ebooker) – онлайн-библиотека на русском языке. Книги доступны онлайн, без утомительной регистрации. Огромный выбор и удобный дизайн, позволяющий читать без проблем. Добавляйте сайт в закладки! Все произведения загружаются пользователями: если считаете, что ваши авторские права нарушены – используйте форму обратной связи.

Полезные ссылки

  • Моя полка

Контакты

  • chitat.ebooker@gmail.com

Подпишитесь на рассылку: