Вход/Регистрация
Информация как основа жизни
вернуться

Корогодин В. И.

Шрифт:

Из свойства полипотентности следует два вывода, имеющих кардинальное значение для общей теории информации. Проследим эти выводы подробнее, ибо ниже нам неоднократно придется к ним обращаться.

Вывод первый. Располагая некоторой информацией или созданным на ее основе оператором и даже зная, для достижения какой цели эти информация и оператор предназначались, невозможно перечислить все ситуации и цели, для достижения которых с той или иной вероятностью они могут оказаться пригодными. Множество комбинаций "ситуация-цель" можно считать бесконечным, как и то подмножество, в пределах которого данную информацию можно использовать для осуществления целенаправленных действий. Если семантику рассматривать как сущность информации, а результат целенаправленного действия – как проявление этой сущности в данных условиях, то полипотентность будет естественным следствием зависимости этого проявления от условий, т. е. от ситуации и цели. Хорошо известно, что одна и та же сущность может обусловливать множество разных свойств.

Таким образом, любая информация и оператор, на ней основанный, всегда могут получить априори не предполагавшиеся применения. Такое непредсказуемое заранее использование информации может подчас оказаться даже более эффективным и ценным, нежели то, для которого она первоначально предназначалась. В математике подобную ситуацию античные мыслители называли поризмом [13].

Вывод второй. Основываясь на свойстве полипотентности, можно утверждать, что для достижения одной и той же цели в данной ситуации с тем или иным эффектом может быть использовано множество разных информации и основанных на них операторов. Это множество всегда будет открытым, так как априори невозможно перечислить все существующие и все возможные информации, а тем более предугадать, какова будет эффективность их использования в некоторой ситуации.

Принципиальная невозможность перечислить все ситуации и цели, где может получить применение данная информация, а также перечислить все информации, которые могут получить применение для достижения данной цели даже в данной определенной ситуации, и тем более невозможность предугадать последствия этих применений – это характернейшая особенность мира, где царствует информация. С другой стороны, свойство полипотентности – вернейший залог жизнеспособности информации, которая не только сама подвергается постоянной изменчивости, но и, будучи использована для осуществления целенаправленных действий, всегда и неизбежно вызывает непредвидимые изменения самого пространства режимов. Как мы увидим ниже, свойство полипотентности, наряду с изменчивостью, играет важнейшую роль в эволюции информации.

Ценность информации

Помимо количества информации, измерять и выражать в цифрах можно и такое ее свойство, как ценность. В основе определения количества информации, как мы помним, лежат ее фиксируемость и инвариантность, а также "правило Шеннона", задающее емкость информационной тары. В основе определения ценности информации лежат такие ее свойства, как действенность и полипотентность, а также предложенный А. А. Харкевичем [14] способ исчисления ценности через приращение вероятности достижения той цели, для чего данная информация используется. Приращения вероятности, однако, могут быть рассчитаны по-разному, и нам предстоит сделать выбор между возможными вариантами.

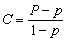
Если, согласно определению целенаправленного действия (см. [9]), через Р обозначить осуществление события цели в данном пространстве режимов при использовании данной информации, а через р - спонтанное осуществление этого же события, то "приращение вероятности достижения цели" можно выразить и как Р-р, и как Р/р, и как log(P/ p). Учитывая, что Р и р могут изменяться от 0 до 1, мы увидим, что в первом случае ценность информации С может варьировать в пределах от плюс 1 до минус 1, во втором – от нуля до бесконечности, а в третьем – от минус бесконечности до плюс бесконечности. Исходя из удобства дальнейшего изложения, примем такой способ исчисления ценности информации, чтобы ее величина изменялась от 0 до плюс 1. Для этого ценность можно выразить через отношение (15)

Казалось бы, этого же интервала изменчивости С можно достигнуть, положив Р < р и выражая С = Р-р или С = Р. В первом из этих случаев, однако, при приближении р к Р величина С будет стремиться к 0, даже если р = 1 и, следовательно, далее возрастать вообще не может. Во втором же случае нижнее значение С будет определяться величиной Р, а не свойствами информации.

Против определения (15) ценности информации можно возразить, что она не принимает отрицательных значений, т. е. не учитывает ситуацию с дезинформацией, когда Р <р. Но такая ситуация может возникнуть лишь в двух случаях. Один из них – это когда объект, поставляющий или использующий информацию, стремится уменьшить вероятность осуществления некоторого события. Тогда цель для него неосуществление Z, спонтанная вероятность чего p' = 1- p, и в этом случае Р, которое меньше, чем р, будет превышать значение р', и, следовательно, требование С >= 0 будет соблюдено. Второй случай – это ошибочное использование неподходящей информации, что требует коррекции, а не логического анализа. Ситуация с "сознательным обманом" целиком включается в первый случай.

Обосновав таким образом избранную нами меру ценности информации, рассмотрим более внимательно содержание этого понятия.

Во-первых, и это чрезвычайно важно, можно утверждать, что в отличие от количества ценность информации невозможно задать одним единственным числом. Ценность каждой информации имеет определенное значение лишь по отношению к некоторой данной ситуации и данной цели. Из свойства же полипотентности следует, что по отношению к разным парам "ситуация-цель" ценность любой информации может варьировать в самых широких пределах, от 0 до 1. Тогда разные информации, следовательно, различаются не единичными значениями их ценности, а распределением этих величин по множествам ситуаций и целей, а ценность некоторой данной информации может быть полностью задана только в форме такого распределения. Распределение это будет представлено множеством точек, а не непрерывной поверхностью, так как множества ситуаций и целей всегда будут оставаться открытыми. Следовательно, мы никогда не сможем иметь исчерпывающие сведения о ценности какой-либо информации, – сколь бы ни представлялась она ничтожной, всегда остается надежда, что могут существовать такие ситуации и цели, где эта ценность близка к максимальной, т. е. к 1.

Посмотрим теперь, как ценность информации может быть связана с ее количеством. Очевидно, что этот вопрос может иметь определенный ответ тоже лишь по отношению к определенной паре "ситуация-цель", причем для разных информации такие ответы могут быть разными. В общем же виде ответ на этот вопрос можно представить себе как множество точек в системе координат (С, В), которое будет иметь определенное расположение только по отношению к данной паре "ситуация-цель" или в данном "информационном поле" (рис. 1).

  • Читать дальше
  • 1
  • ...
  • 15
  • 16
  • 17
  • 18
  • 19
  • 20
  • 21
  • 22
  • 23
  • 24
  • 25
  • ...

Ебукер (ebooker) – онлайн-библиотека на русском языке. Книги доступны онлайн, без утомительной регистрации. Огромный выбор и удобный дизайн, позволяющий читать без проблем. Добавляйте сайт в закладки! Все произведения загружаются пользователями: если считаете, что ваши авторские права нарушены – используйте форму обратной связи.

Полезные ссылки

  • Моя полка

Контакты

  • chitat.ebooker@gmail.com

Подпишитесь на рассылку: