Вход/Регистрация
Тотальный риск-менеджмент
вернуться

Евстафьев Илья Николаевич

Шрифт:

2.4. Последствия рисков

Перейдем к обсуждению исключительно важного вопроса: с чем имеет дело потребитель процесса или пользователь технической системы?

Рассмотрим пример отказа датчика температуры двигателя автомобиля.

Датчик температуры двигателя является источником риска нарушения контакта электрической цепи, являющейся сигнальной для контроллера управления двигателем. Хаотическое изменение сопротивления в этой цепи будет приводить к тому, что контроллер попытается менять режим двигателя таким образом, чтобы компенсировать управляющий сигнал. Водитель, очевидно, воспримет происходящее как рывки автомобиля.

Потребитель, если он не инженер-конструктор двигателей, сформулирует свою претензию именно таким образом. Понятно, что потребитель вообще не обязан знать о наличии какого-то датчика.

Можно описать это еще одной причинно-следственной диаграммой (рис. 2.4).

Рис. 2.4. Последовательность риска и событий с точки зрения потребителя

С точки зрения потребителя нет никакой разницы, происходят рывки в результате отказа датчика температуры или другого датчика или из-за неисправности вообще другого узла. Последствие определено ГОСТ Р 51897-2002 совсем просто.

...

«Последствие: результат события».

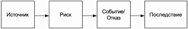
Итак, в окончательном варианте причинно-следственная модель проявления риска выглядит следующим образом.

Рис. 2.5. Связь источника риска, события и последствия

Обычно после регистрации последствия производитель или поставщик сервиса должен принять некие ответные меры. В случае процесса, возможно, нужно будет произвести дополнительные действия, направленные на устранение или минимизацию негативных последствий для потребителя и самого поставщика. В случае технической системы, возможно, будет необходима работа защитного устройства, потребляющего некие ресурсы или имеющего ограниченное число срабатываний. Для подобных защитных мер и процессов будем применять термин ветка последствия .

...

ВАЖНО

Ветки последствий потребляют ресурсы, но сами не создают никакой прибавочной стоимости (не имеют полезных свойств, требуют установки дополнительных систем и деталей в технических системах). Помимо этого, ветки последствий сами служат источником дополнительных затрат в случае бизнес-процесса. Значительное число аварий технических объектов также происходит в результате работы защитных систем либо их непредусмотренного влияния на основную систему (пример: Чернобыльская авария).

Изучение и регламентирование веток последствия – это важнейшая часть менеджмента риска.

В таблице 2.4 более конкретно сформулированы понятия выхода, последствия, события, риска и источника для технической системы, процесса и проекта.

Таблица 2.4 ОСНОВНЫЕ ПОНЯТИЯ РИСК-МЕНЕДЖМЕНТА В ПРИМЕНЕНИИ К ТЕХНИЧЕСКОЙ СИСТЕМЕ, ПРОЦЕССУ И ПРОЕКТУ

Глава 3 Анализ рисков деятельности

Знания организации о рисках, с которыми она сталкивается, можно формально свести в несколько перечней.

● Перечень последствий, с которыми сталкиваются потребители. Источник этих знаний – претензии потребителей и предположения, которые можно сделать по опыту аналогичной деятельности или эксплуатации подобных технических систем.

● Перечень событий, приводящих к данным последствиям. Источник знаний – опыт персонала, непосредственно занятого на участках, где могут происходить события, либо конструкторы и ремонтники проблемных технических узлов.

● Перечень рисков. Ответственность за его формирование лежит на риск-менеджере.

● Перечень источников риска или хотя бы классификатор областей, где они возникают.

Как составить эти перечни? Какие правила по их составлению можно сформировать? Вообще, с чего начать?

3.1. Составление перечня глобальных рисков. Декомпозиция рисков от уровня предприятия до уровня подразделения

На подготовительном этапе составления реестра рисков целесообразно провести анализ проблем по методу декомпозиции рисков от формулировки на уровне предприятия до уровня отдельных служб и подразделений. Эта работа очень важна по следующим причинам.

1. Позволяет увидеть взаимозависимость между рисками, волнующими топ-менеджмент компании, и рисками, возникающими в работе рядовых сотрудников.

2. Позволяет подготовить базовый реестр рисков, наиболее пригодный для дальнейшей проработки (т. к. он увязан с основными целями и ценностями компании).

Начиная такой анализ, нужно исходить из стратегических целей, из миссии компании. Неправильная оценка глобальных рисков приводит к ошибкам при принятии управленческих решений любого уровня .

  • Читать дальше
  • 1
  • ...
  • 4
  • 5
  • 6
  • 7
  • 8
  • 9
  • 10
  • 11
  • 12
  • 13
  • 14
  • ...

Ебукер (ebooker) – онлайн-библиотека на русском языке. Книги доступны онлайн, без утомительной регистрации. Огромный выбор и удобный дизайн, позволяющий читать без проблем. Добавляйте сайт в закладки! Все произведения загружаются пользователями: если считаете, что ваши авторские права нарушены – используйте форму обратной связи.

Полезные ссылки

  • Моя полка

Контакты

  • chitat.ebooker@gmail.com

Подпишитесь на рассылку: