Вход/Регистрация
Математика в занимательных рассказах
вернуться

Перельман Яков Исидорович

Шрифт:

один рубль можно уплатить, только употребив 20 пятаков.

Рассмотрим теперь другой крайний случай:

2) Десять рублей. Зх + у = 60.

Так как у должно быть кратно 3 (иначе сумма его с Зх не делилась бы без остатка на 3), то примем у = 0, 3, 6… Для случая у = 0 имеем x = 20 и г = 0. Это дает нам уже упомянутое решение: 20 полтинников. Но оно и единственное, потому что для у = 3 имеем x = 19, и (х + у) превышает высшую сумму 20.

3) Четыре рубля. Зх + у = 20.

Принимая

х =0, 1, 2, 3, 4, 5, 6, 7, 8…,

получаем, что

у = 20 = 3х = 20, 17, 14, 11, 8, 5, 2 (-1, -4…).

Имеют смысл, очевидно, только первые семь значений. Им соответствуют

z = 0,2,4, 6,8, 10, 12.

Четыре рубля можно, как видим, уплатить 7-ю различными способами, например: 6 полтинниками, 2 двугривенными и 12 пятаками.

4) Семь рублей. Зх + у = 40.

Здесь не приходится рассматривать значения для x от 0 до 9, так как при этом для у получаются числа от 40 до 13, и (х + у) составляет, по меньшей мере, 22, что нарушает требование. Остается рассмотреть поэтому лишь случаи:

х= 10, И, 12, 13,

причем

у = 40-3х= 10, 7, 4, 1,

z = 0,2, 4, 6.

Остальные случаи исключаются, так как ближайшее у уже отрицательное.

Этим вопрос исчерпывается полностью. Кто хотя бы немного имел дело с уравнениями, тот заметил, вероятно, что здесь не приходится оперировать так механически, как обычно. Это оттого, что мы имеем в нашем случае больше неизвестных, нежели уравнений, а именно — 3 неизвестных при 2 уравнениях. Неизвестное z мы устранили и получили одно уравнение с двумя неизвестными хи у. Поэтому задача становится неопределенной; можно лишь установить взаимную обусловленность чисел x и у, так что для любого x можно найти соответствующее значение у. В сущности, имеется бесконечное множество пар решений задач такого рода. Но число их ограничивается требованием, вытекающим из сущности задачи, а именно: либо чтобы искомые числа были целые (как в нашей задаче, где речь идет о монетах), либо чтобы они не были отрицательные (наш случай), либо чтобы их сумма не превышала определенного числа (у нас — 20-ти), и т. п.

Итак, возвращаясь к первоначальной задаче, скажем: счетчик мог безопасно посулить сколь угодно большую награду — задача неразрешима. Для вас тем самым открывается легкая возможность предлагать своим друзьям крепкие головоломки. Можете обещать им величайшую награду — не попадетесь: как истые математики, вы можете быть твердо уверены в себе. А кто пожелал бы узнать подробнее об уравнениях вроде рассмотренных выше, пусть спросит своего учителя математики о Диофанте Александрийском.

Примечание редактора Диофант Александрийский

Упомянутый в конце очерка александрийский математик Диофант жил в III веке нашей эры. Им написана была «Арифметика», от которой до нас дошла только первая половина сочинения. В этом труде рассматриваются, между прочим, неопределенные уравнения, которые Диофантом и были впервые введены в математику; поэтому имя его осталось навсегда связанным с этими уравнениями.

О жизни Диофанта известно лишь то, что сообщается в надписи, сохранившейся на его могильном памятнике, — надписи, которая составлена в форме следующей задачи:

Путник! Здесь прах погребен Диофанта. И числа поведать Могут, о чудо, сколь долог был век его жизни. Часть шестую его составляло прекрасное детство; Двенадцатая часть протекла еще жизни, — покрылся Пухом тогда подбородок; седьмую в бездетном Браке провел Диофант. Еще пять прошло лет, Был осчастливлен рожденьем прекрасного первенца-сына, Коему рок половину лишь жизни прекрасной и светлой Дал на земле по сравненью с отцом. И в печали глубокой Старец земного удела конец воспринял, проживши Года четыре с тех пор, как сына лишился. Скажи, Скольких лет жизни достигнув, смерть воспринял Диофант?

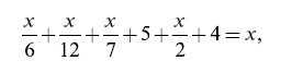
Составив уравнение:

узнаем из его решения (х = 84), что Диофант умер 84 лет, женился 21 года, стал отцом на 38 году и потерял сына на 80 году.

Числовые анекдоты

Барри Пэн [38]

1

— Еще веревочку? — спросила мать, вытаскивая руки из лоханки с бельем. — Можно подумать, что я вся веревочная. Только и слышишь: веревочку да веревочку. Ведь я вчера дала тебе порядочный клубок. На что тебе такая уйма? Куда ты ее девал?

38

Современный английский беллетрист. Английские меры подлинника заменены метрическими, вследствие чего пришлось несколько видоизменить и самые задачи. — Ред.

  • Читать дальше
  • 1
  • ...
  • 24
  • 25
  • 26
  • 27
  • 28
  • 29
  • 30
  • 31
  • 32
  • 33

Ебукер (ebooker) – онлайн-библиотека на русском языке. Книги доступны онлайн, без утомительной регистрации. Огромный выбор и удобный дизайн, позволяющий читать без проблем. Добавляйте сайт в закладки! Все произведения загружаются пользователями: если считаете, что ваши авторские права нарушены – используйте форму обратной связи.

Полезные ссылки

  • Моя полка

Контакты

  • chitat.ebooker@gmail.com

Подпишитесь на рассылку: