Вход/Регистрация
Математика в занимательных рассказах
вернуться

Перельман Яков Исидорович

Шрифт:

— Этого никак невозможно сделать, — начал было бакалейщик.

— Нет, возможно! — крикнул Мефистофель так грозно, что бакалейщик проснулся.

Когда он обдумал свой сон, ему стало ясно, что Мефистофель-то был прав: с 300 граммов воды и пряжкой в 650 граммов совсем нетрудно отвесить в точности 1 килограмм чаю.

Каким образом?

6

Старый Осип явился на базар с арбузами и начал торговать. Арбузы были как на подбор все одинаковы.

Первый покупатель взял несколько арбузов, за которые торговец спросил по 36 копеек за штуку. Второй также купил несколько штук, за которые торговец взял по 32 копейки за штуку. Третьему покупка обошлась по 24 копейки штука.

Постовой милиционер, все время присматривавшийся к коммерческим оборотам торговца, также пожелал выступить в роли покупателя.

— Цена на арбузы, я вижу, падает, — сказал он. — У вас остался всего один последний арбуз. Что вы хотите за него?

— 48 копеек, — ответил торговец.

— Вот так раз! — с досадой воскликнул милиционер. — Почему это вы берете с меня дороже, чем со всех других?

— Я ни с кого не беру лишнего, — ответил торговец. — На всем базаре не найдете более добросовестного торговца. Для меня все покупатели равны, такое уж у меня правило. Хочу со всех нажить одинаково, много ли покупают или мало.

Сколько арбузов было у торговца?

7

Учительница задала двум ученицам один и тот же пример на умножение:

1 год 1 мес. 11/4 дня x 36.

Первая девочка умножила сначала на 9, а полученное произведение — на 4. Ответ получился правильный.

Вторая девочка умножила сначала на 4, а потом на 9 и тоже получила правильный ответ.

Учительница оценила обе работы одинаково. Если предполагать, что вторая девочка избрала свой путь решения вполне сознательно, то учительница поступила несправедливо, дав обоим ответам одинаковую оценку. Почему?

Добавление редактора Решения задач

1) После того как мать взяла половину, осталась 1/2, после заимствования старшего брата осталась 1/4, после отца 1/8, после сестры 1/8 x 3/5 = 3/40. Если 30 сантиметров составляет 3/40 первоначальной длины, то искомая длина равна 30:3/40 = 400 сантиметрам, или 4 метрам.

2) Пусть часы пробили х. Наличное число очков надо обозначить через 2х. Если их было вдвое больше, т. е. 4х, то это число превышало бы втрое число ударов часов при последующем бое, т. е. (х + 1). Следовательно, имеем уравнение 4x/3 = x + 1, откуда x = 3. Было 3 часа.

3) Обозначим число наличных стульев через х. Тогда число учеников можно выразить двояко: через 3 (х + 5) и через 4 (х — 3). Оба выражения должны быть равны, откуда имеем уравнение

3 (x + 5) = 4 (x — 3).

Решив его, находим x = 27. Следовательно, стульев было 27, а учеников 3 x (27 + 5) = 96.

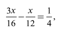
4) Обозначим расстояние между домами через х. Молодой человек всего прошел 2х, а доктор вчетверо меньше, т. е. x/2—. До встречи доктор прошел половину пройденного им пути, т. е. x/4, а молодой человек — остальное, т. е. 3x/4. Свою часть пути доктор прошел в x/12 часов, а молодой человек — в 3x/16 часов, причем мы знаем, что он был в пути на 3/4 часа дольше, чем доктор. Имеем уравнение:

откуда x = 2,4 километра. Итак, от дома молодого человека до дома доктора — 2,4 километра.

5) Налив 300 граммов воды в чашку весов, отвешиваем этой «водяной гирей» сначала 300 граммов чаю. Затем, положив на одну чашку весов эти 300 граммов чаю, кладем на другую — пряжку, т. е. 650 граммов, и досыпаем на менее нагруженную чашу в отдельный пакет столько чаю, чтобы весы пришли в равновесие, — т. е. 350 г. Отвесив еще с помощью пряжки 650 г чаю, имеем 650 г + 350 г = 1000 г, т. е. 1 килограмм.

  • Читать дальше
  • 1
  • ...
  • 26
  • 27
  • 28
  • 29
  • 30
  • 31
  • 32
  • 33
  • 34

Ебукер (ebooker) – онлайн-библиотека на русском языке. Книги доступны онлайн, без утомительной регистрации. Огромный выбор и удобный дизайн, позволяющий читать без проблем. Добавляйте сайт в закладки! Все произведения загружаются пользователями: если считаете, что ваши авторские права нарушены – используйте форму обратной связи.

Полезные ссылки

  • Моя полка

Контакты

  • chitat.ebooker@gmail.com

Подпишитесь на рассылку: