Вход/Регистрация
Пуговицы Наполеона. Семнадцать молекул, которые изменили мир
вернуться

Берресон Джей

Шрифт:

Проекционная формула Фишера для глюкозы. Показана нумерация атомов углерода.

Иногда такие сахара, как глюкоза, по-прежнему изображают в линейном виде, однако теперь известно, что на самом деле глюкоза существует в другой форме: в виде циклической структуры. Циклические изображения называют формулами Хоуорса — в честь англичанина Нормана Хоуорса, получившего в 1937 году Нобелевскую премию по химии за определение структуры витамина С и некоторых углеводов (см. главу 2). Шестичленное кольцо молекулы глюкозы состоит из пяти атомов углерода и одного атома кислорода. Нумерация в формуле Хоуорса показывает, как атомы в кольцевой структуре соответствуют атомам в проекционной формуле Фишера.

Формула Хоуорса для глюкозы. Показаны все атомы водорода.

Формула Хоуорса для глюкозы. Атомы водорода в кольце не показаны, но показана нумерация атомов углерода.

В циклическом виде могут существовать две формы глюкозы, в зависимости от того, располагается ли группа OH у атома углерода C1 над плоскостью кольца или под ней. Может показаться, что это очень незначительное различие, однако это не так: это чрезвычайно важно для структуры более сложных молекул, в состав которых входят звенья глюкозы. Если группа OH у атома углерода 1 располагается под плоскостью кольца, то такую молекулу называют -глюкозой, а если над плоскостью кольца, то -глюкозой.

– глюкоза

– глюкоза

То, что мы привыкли в быту называть сахаром, представляет собой сахарозу. Сахароза — это дисахарид, построенный из двух простых моносахаридных звеньев: одного звена глюкозы и одного звена фруктозы. Фруктоза, или фруктовый сахар, имеет ту же формулу, что и глюкоза (C6H12O6), и, соответственно, содержит точно такое же количество атомов углерода, кислорода и водорода, что и глюкоза. Однако структура молекул этих двух веществ заметно различается. Атомы в их молекулах расположены по-разному. Химики называют такие соединения изомерами. Это вещества, которые имеют одинаковую химическую формулу (то есть одинаковое количество атомов каждого конкретного вида), однако различаются расположением атомов.

Проекционные формулы Фишера для изомеров глюкозы и фруктозы, показывающие разное расположение атомов водорода и кислорода у атомов углерода С1 и С2. В молекуле фруктозы атомы водорода у С2 отсутствуют.

Фруктоза существует главным образом в циклической форме, однако ее структура несколько отличается от циклической структуры глюкозы: фруктоза образует пятичленное кольцо, а не шестичленное, как глюкоза. Фруктоза, как и глюкоза, может существовать в виде — или -формы. Однако с кислородом в кольце соединен углерод С2, поэтому — и -формы фруктозы различаются положением OH-группы именно у этого атома углерода. В -форме OH-группа располагается под кольцом, в -форме — над кольцом.

Формула Хоуорса для -глюкозы

Формула Хоуорса для -фруктозы

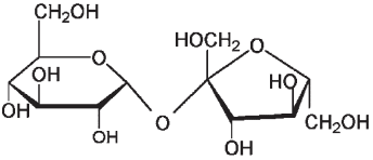
Сахароза содержит равные количества глюкозы и фруктозы, но это не комбинация двух молекул. В молекуле сахарозы одно звено глюкозы и одно звено фруктозы связаны через OH-группу у атома С1 из молекулы -глюкозы и OH-группу у атома С2 из молекулы -фруктозы. При образовании этой связи происходит удаление молекулы воды.

Удаление молекулы воды при образовании сахарозы из глюкозы и фруктозы. На данном рисунке молекула фруктозы повернута на 180° и перевернута.

Структура молекулы сахарозы

Фруктоза содержится во фруктах, а также в меде, который на 38 % состоит из фруктозы, на 31 % из глюкозы, на 10 % — из разных сахаров, включая сахарозу (остальное — вода). Фруктоза слаще глюкозы и сахарозы, так что именно благодаря высокому содержанию фруктозы мед слаще сахара. Кленовый сироп содержит примерно 62 % сахарозы и по 1 % фруктозы и глюкозы.

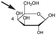
Молочный сахар, или лактоза, представляет собой дисахарид, образованный из одного звена глюкозы и одного звена другого моносахарида — галактозы. Галактоза также является изомером глюкозы. Единственным различием между этими веществами является то, что в молекуле галактозы OH-группа у атома С4 расположена над кольцом, а не под ним, как в молекуле глюкозы.

– галактоза

– глюкоза

Стрелки указывают положение OH-групп у атома С4 в молекулах -галактозы (над поверхностью кольца) и -глюкозы (под поверхностью кольца). Эти молекулы соединяются, образуя молекулу лактозы.

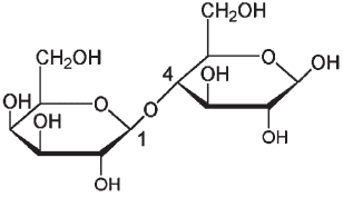
Структура молекулы лактозы

Звено галактозы (слева) через атом С1 соединено с атомом С4 звена глюкозы (справа)

Может показаться, что расположение OH-группы над или под кольцом не способно сильно влиять на свойства молекулы, однако люди с врожденной непереносимостью лактозы хорошо чувствуют различие. Для расщепления лактозы и других дисахаридов или полисахаридов людям нужны специфические ферменты, которые расщепляют эти молекулы на простые моносахариды. Фермент, расщепляющий лактозу, называется лактазой. В небольшом количестве он присутствует в организме некоторых взрослых людей. У детей лактаза обычно вырабатывается в большем количестве. Недостаточность лактазы затрудняет расщепление молока и молочных продуктов и является причиной симптомов непереносимости лактозы — вздутия живота, судорог и диареи. Непереносимость лактозы — наследственное состояние, которое легко контролировать путем приема ферментных препаратов. В организме взрослых и даже детей из некоторых этнических групп, в частности, некоторых африканских народов, лактазы нет вообще. Для этих людей порошковое молоко и другие молочные продукты, которые часто поставляют в Африку в рамках гуманитарной помощи, могут оказаться даже опасными.

  • Читать дальше
  • 1
  • ...
  • 11
  • 12
  • 13
  • 14
  • 15
  • 16
  • 17
  • 18
  • 19
  • 20
  • 21
  • ...

Ебукер (ebooker) – онлайн-библиотека на русском языке. Книги доступны онлайн, без утомительной регистрации. Огромный выбор и удобный дизайн, позволяющий читать без проблем. Добавляйте сайт в закладки! Все произведения загружаются пользователями: если считаете, что ваши авторские права нарушены – используйте форму обратной связи.

Полезные ссылки

  • Моя полка

Контакты

  • chitat.ebooker@gmail.com

Подпишитесь на рассылку: