Вход/Регистрация
Пуговицы Наполеона. Семнадцать молекул, которые изменили мир
вернуться

Берресон Джей

Шрифт:

Глицерин

Если взболтать вино в бокале, на стекле образуются “ножки”, которые как раз и связаны с присутствием в вине глицерина, повышающего вязкость и бархатистость хорошего вина.

Заменители сахара

Существует множество других сладких веществ, не являющихся сахарами, и некоторые из них могут служить заменителями сахара. Доходы от производства этой продукции составляют около миллиарда долларов. К таким веществам предъявляют следующие требования: их химическая структура должна некоторым образом имитировать структуру сахаров, что позволяет им связываться с рецепторами сладкого вкуса, они должны растворяться в воде, быть нетоксичными и желательно не подвергаться расщеплению в организме. Эти вещества обычно в сотни раз слаще сахара.

Первым искусственным заменителем сахара был сахарин. Это мелкий порошок, настолько сладкий, что даже очень малая доза вызывает реакцию организма: если при работе с этим веществом поднести руку к губам, немедленно ощущается сладкий вкус. Наверное, именно это произошло в 1879 году в Университете Джонса Хопкинса в Балтиморе. Студент-химик [7] почувствовал необычно сладкий вкус хлеба, который ел. Он вернулся к рабочему столу и, принявшись систематически пробовать все вещества, с которыми в тот день работал (рискованная, но достаточно распространенная в те времена практика), обнаружил вещество, имеющее сильно выраженный сладкий вкус.

7

Константин Фальберг (1850–1910) — немецкий химик русского происхождения.

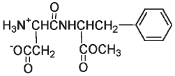
Сахарин не обладает калорийностью, и это сочетание сладости с отсутствием калорийности быстро обеспечило ему коммерческий успех (сахарин стали применять уже в 1885 году). Сначала его планировали использовать в качестве заменителя сахара для диабетиков, но он быстро приобрел популярность у всего населения. Однако беспокойство по поводу возможной токсичности этого вещества, а также его металлическое послевкусие стимулировали создание других искусственных заменителей сахара, таких как цикламат и аспартам. Как видно из рисунка, структура этих трех веществ различна и сильно отличается от структуры сахаров, однако все они обладают необходимым набором атомов в специфических позициях и необходимой гибкостью, чтобы вызывать у человека ощущение сладкого вкуса.

Сахарин

Цикламат натрия

Аспартам

Ни один искусственный заменитель сахара не является идеальным. Некоторые из них разлагаются при нагревании и поэтому могут употребляться только с холодными напитками или пищей. Другие недостаточно хорошо растворяются в воде. Третьи обладают неприятным привкусом. Синтетическое вещество аспартам состоит из двух природных аминокислот. Аспартам расщепляется в организме, но поскольку он в двести раз слаще глюкозы, для получения сладкого вкуса его нужно значительно меньше. Людям с таким наследственным заболеванием, как фенилкетонурия (неспособность расщеплять аминокислоту фенилаланин, образующуюся при распаде аспартама), не рекомендовано употреблять этот заменитель сахара.

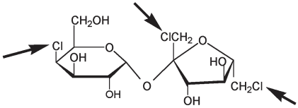
В создании нового заменителя сахара, одобренного в 1998 году Управлением США по надзору за качеством пищевых продуктов и лекарственных средств, был применен другой подход. Это вещество — сукралоза — отличается от сахарозы всего по двум параметрам. Звено глюкозы (слева на рисунке) заменено галактозой — тем же сахаром, который входит в состав молочного сахара. Кроме того, три OH-группы заменены на три атома хлора (Cl): один в галактозном звене и два других во фруктозном звене (справа на рисунке). Три атома хлора не влияют на сладость этой молекулы, но они не позволяют организму ее расщеплять. Поэтому сукралоза не обладает калорийностью.

Структура сукралозы. Стрелками показаны атомы хлора, введенные в молекулу вместо OH-групп.

Сейчас исследователи занимаются поиском несахарных подсластителей из растительных источников; сладость таких веществ может в тысячу раз превышать сладость сахарозы. Давно известно о сладком вкусе некоторых растений. В качестве примера можно назвать южноамериканскую траву Steviarebaudiana, корень лакричного растения Glycyrrhiza glabra, мексиканский представитель семейства вербеновых Lippia dulcis, а также корневища папоротника Selliguea feei с запада Явы. Сладкие вещества из природных источников могут найти промышленное применение, однако предстоит решить проблему их низкого содержания в природном источнике, токсичности, плохой растворимости в воде, неприятного привкуса, нестабильности и непостоянства качества этих веществ.

Сахарин, использовавшийся дольше века, был, однако, не первым заменителем сахара. Первым должен считаться ацетат свинца Pb (C2H3O2)2, которым древние римляне подслащивали вино. Это вещество, известное как свинцовый сахар, способно придать вину сладость, не вызывая дальнейшей ферментации, которая неизбежна при добавлении меда. Многие соли свинца имеют сладкий вкус, многие из них нерастворимы и абсолютно все ядовиты. Ацетат свинца растворяется очень хорошо, а о его токсичности римляне ничего не знали. Это наводит нас размышления о “старых добрых временах”, когда еда и напитки якобы не содержали вредных добавок.

Кроме того, римляне хранили вино и другие жидкости в свинцовых контейнерах, а вода в дома поступала по свинцовым трубам. Отравление свинцом носит кумулятивный характер. Свинец воздействует на нервную систему, репродуктивные и другие органы. Первые симптомы отравления свинцом довольно неспецифические: нарушение сна, потеря аппетита, раздражительность, головные боли, анемия и боли в желудке. Позднее происходит нарушение мозговой деятельности, приводящее к параличу. Некоторые историки связывают упадок Рима с отравлением свинцом: многие римские правители, включая Нерона, страдали от подобных симптомов. Однако только состоятельная аристократическая публика могла позволить себе иметь дома водопровод и хранить вино в свинцовых контейнерах. Простые люди вынуждены были ходить за водой, а вино хранили в других емкостях. Но если свинец действительно был одной из причин упадка Римской империи, возможно, его также можно отнести к химическим веществам, изменившим ход истории.

  • Читать дальше
  • 1
  • ...
  • 13
  • 14
  • 15
  • 16
  • 17
  • 18
  • 19
  • 20
  • 21
  • 22
  • 23
  • ...

Ебукер (ebooker) – онлайн-библиотека на русском языке. Книги доступны онлайн, без утомительной регистрации. Огромный выбор и удобный дизайн, позволяющий читать без проблем. Добавляйте сайт в закладки! Все произведения загружаются пользователями: если считаете, что ваши авторские права нарушены – используйте форму обратной связи.

Полезные ссылки

  • Моя полка

Контакты

  • chitat.ebooker@gmail.com

Подпишитесь на рассылку: