Вход/Регистрация
Пуговицы Наполеона. Семнадцать молекул, которые изменили мир
вернуться

Берресон Джей

Шрифт:

К 30-х годам XIX века стало известно, что если целлюлозу растворить в концентрированной азотной кислоте, а образующийся раствор добавить в воду, получается легко воспламеняющийся взрывчатый белый порошок. Коммерческое использование этого вещества началось в 1845 году после открытий, сделанных в Базеле, в Швейцарии, немецким химиком Фридрихом Шенбейном. Он проводил эксперименты со смесями азотной и серной кислот дома, на кухне, чему активно противилась фрау Шенбейн, не желавшая, понятное дело, подвергать жилье опасности. Однажды, когда жены не было дома, Шенбейн пролил немного смеси кислот. Чтобы вытереть жидкость, он схватил первое, что попалось под руку — хлопчатобумажный фартук жены. Химик вытер кислоту и повесил фартук над печкой, чтобы высушить. Однако фартук взорвался, произведя страшный грохот и породив столб пламени. Неизвестно, что сказала жена ученого, когда вернулась домой и застала мужа за продолжением кухонных экспериментов с хлопком и азотной кислотой. Мы знаем только, что Шенбейн назвал новое вещество Schiebaumwolle, “стреляющий хлопок”. Хлопок на 90 % состоит из целлюлозы, и теперь мы знаем, что “стреляющий хлопок” Шенбейна был нитроцеллюлозой (пироксилином), образующейся при замене атомов водорода в некоторых OH-группах в молекуле целлюлозы на нитрогруппы (NO2). Чем больше таких замен, тем взрывоопаснее вещество.

Участок молекулы целлюлозы с указанием мест возможного нитрования OH-групп у атомов С2, С3 или С6 в любом остатке глюкозы

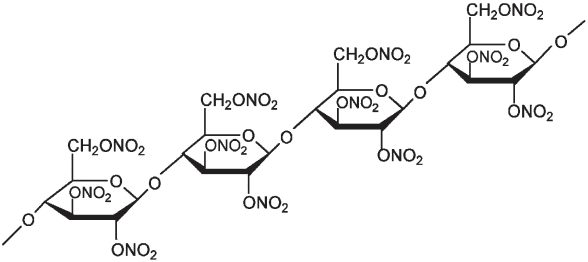
Участок молекулы нитроцеллюлозы: в данном случае атомы водорода из OH-групп заменены нитрогруппами во всех возможных положениях в каждом остатке глюкозы

Шенбейн, осознавший возможную выгоду от своего открытия, основал фабрики по производству нитроцеллюлозы, надеясь, что она сможет заменить порох. Однако нитроцеллюлоза — очень опасное вещество, которое необходимо беречь от влаги. В те времена не знали, что азотная кислота является чрезвычайно едким веществом, и на нескольких фабриках произошли сильные взрывы, что вынудило Шенбейна закрыть производство. Только в конце 60-х годов XIX века, когда был разработан метод очистки нитроцеллюлозы от остатков азотной кислоты, стало можно получать достаточно устойчивую нитроцеллюлозу для промышленного производства взрывчатки.

Позднее был разработан контролируемый процесс, позволяющий получать разную нитроцеллюлозу: пироксилин с высоким содержанием нитрогрупп и такие вещества, как коллодий и целлулоид, отличающиеся низким содержанием нитрогрупп. Коллодий — это нитроцеллюлоза, смешанная со спиртом и водой. Эту смесь использовали на заре развития фотографии. Целлулоид (смесь нитроцеллюлозы с камфарой) — одна из первых пластмасс, из которой делали первую кинопленку. Другое производное целлюлозы — ацетат целлюлозы — оказалось гораздо менее горючим, чем нитроцеллюлоза, и быстро заменило ее во многих областях. Современные фото— и кинопроизводство обязаны своим нынешним размахом многогранной структуре целлюлозы.

Целлюлоза не растворима в большинстве растворителей, но переходит в щелочной раствор одного органического вещества — сероуглерода. В результате образуется ксантат целлюлозы. Эту вязкую дисперсию назвали вискозой. Если вискозу продавить через мелкие отверстия, а потом обработать кислотой, целлюлоза опять принимает форму тонких волокон, которые можно прясть. Так получают вискозный шелк. В похожем процессе, в котором вискозу продавливают через узкую щель, получают целлофан. Вискозу и целлофан обычно относят к синтетическим материалам, однако их нельзя считать полностью синтетическими: они созданы на основе природной целлюлозы.

И -полимер глюкозы (крахмал), и -полимер (целлюлоза) остаются важным компонентом нашего питания и продолжают оказывать влияние на нашу жизнь. Однако историческая роль целлюлозы и ее производных не связана с их пищевой функцией. Целлюлоза в форме хлопка явилась причиной двух важнейших событий XIX века: Промышленной революции в Европе и Гражданской войны в США. Хлопок послужил “топливом” Промышленной революции, изменившей развитие Англии и сопровождавшейся переселением сельских жителей в города, быстрой индустриализацией, инновациями, социальными изменениями и, наконец, процветанием страны. С другой стороны, с хлопком связан один из самых серьезных кризисов в истории Америки, поскольку одной из главных причин Гражданской войны были разногласия по вопросу о рабстве между свободным Севером и рабовладельческим Югом, экономика которого была основана на труде невольников, работавших на хлопковых плантациях.

Нитроцеллюлоза (пироксилин) — одно из первых взрывчатых веществ, созданных человеком, и ее открытие послужило толчком к развитию многих отраслей современной промышленности, поначалу связанных с различными формами нитроцеллюлозы (производство взрывчатых веществ, фото— и киноиндустрия). Производство синтетических тканей, начавшееся с вискозы, в XX веке сыграло важную роль в развитии экономики. Без целлюлозы наш мир был бы совсем другим.

Глава 5

Нитроорганические соединения

Фрау Шенбейн, утратившая фартук в результате новаторских опытов мужа, — не первая в истории жертва взрыва созданных человеком взрывчатых веществ и, конечно, не последняя. Если химическая реакция протекает очень-очень быстро, она может обладать поистине страшной разрушительной силой. Целлюлоза — лишь одна из многих молекул, измененных человеком для получения взрывчатки. Некоторые из полученных химических соединений принесли человечеству огромную пользу, другие, напротив, причинили ему тяжкий урон. Но, как бы то ни было, эти соединения оказали на наш мир существенное влияние и изменили его лицо.

Структура взрывчатых веществ весьма разнообразна, однако в большинстве случаев молекулы этих веществ содержат нитрогруппы. Эта маленькая группа атомов, состоящая из одного атома азота и двух атомов кислорода (NO2), присоединенная в правильной позиции, изменила характер современной войны, определила судьбу целых народов, в буквальном смысле позволила человеку двигать горы.

Порох

Порох (черный порох) — первая взрывоопасная смесь, придуманная человеком, — уже в древности использовался в Китае, Индии и в Аравии. В древних китайских текстах упоминается “огненное зелье”. Состав пороха был впервые описан только в начале 1000-х годов, но и тогда точная пропорция нитратной соли, серы и углерода не была известна. Нитратная соль (селитра, “китайский снег”, “китайская соль”) представляет собой нитрат калия, химическая формула которого такова: KNO3. Углерод для пороха брали в виде древесного угля, что и объясняло черный цвет порошка.

  • Читать дальше
  • 1
  • ...
  • 17
  • 18
  • 19
  • 20
  • 21
  • 22
  • 23
  • 24
  • 25
  • 26
  • 27
  • ...

Ебукер (ebooker) – онлайн-библиотека на русском языке. Книги доступны онлайн, без утомительной регистрации. Огромный выбор и удобный дизайн, позволяющий читать без проблем. Добавляйте сайт в закладки! Все произведения загружаются пользователями: если считаете, что ваши авторские права нарушены – используйте форму обратной связи.

Полезные ссылки

  • Моя полка

Контакты

  • chitat.ebooker@gmail.com

Подпишитесь на рассылку: