Вход/Регистрация
Пуговицы Наполеона. Семнадцать молекул, которые изменили мир
вернуться

Берресон Джей

Шрифт:

Шелководство распространилось по всему Средиземноморью, а к XIV веку стало одной из процветающих отраслей в Италии, особенно на севере страны. Венеция, Лукка и Флоренция прославились своей превосходной парчой и бархатом. Экспорт шелка на север Европы был одним из финансовых источников, питавших Ренессанс. Шелковых дел мастера, спасаясь от политических неурядиц в Италии, бежали во Францию и заложили основы производства шелка в этой стране. В 1466 году Людовик XI освободил лионских ткачей от уплаты налогов, издал закон о посадке шелковицы и заказал шелк для королевского двора. В течение следующих пяти столетий европейское шелководство концентрировалось вокруг Лиона. В XVI веке, когда французские и фламандские ткачи, спасаясь от религиозных преследований, перебрались в Англию, шелковые мануфактуры появились в Маклсфилде и Спитталфилде.

Все попытки разведения шелковичного червя в Северной Америке оказались безуспешными. Однако там были разработаны высокомеханизированные процессы прядения и ткачества. В первой половине XX века США были одним из главных производителей шелковых товаров в мире.

Химия сияния и блеска

Шелк, подобно другим волокнам животного происхождения, таким как шерсть и волосы, представляет собой белок. Все белки состоят из двадцати двух -аминокислот. Любая -аминокислота содержит аминогруппу (NH2) и кислотную группу (COOH), причем обе они присоединены к одному и тому же так называемому -атому углерода.

Общая формула -аминокиспоты

Обычно пользуются более сжатой формой записи:

Сжатая форма записи общей формулы -аминокислоты

Здесь R обозначает особую группу атомов в каждой конкретной аминокислоте. Существует двадцать два варианта структуры R, что и объясняет существование двадцати двух аминокислот. R-группу иногда называют боковой группой (боковой цепью). Именно структура этой боковой цепи отвечает за уникальные свойства шелка (а также за уникальные свойства любого другого белка).

Самая маленькая боковая группа представлена всего одним атомом водорода. Такую структуру имеет аминокислота глицин, изображенная на рисунке.

Аминокислота глицин

Аминокислоты аланин и серин также имеют простые боковые группы — CH3 и CH2OH соответственно.

Аланин

Серин

Эти три аминокислоты имеют самые маленькие боковые группы, и именно они чаще всего встречаются в шелке, так что на их долю приходится около 85 % общего аминокислотного состава этого белка. Малый размер боковых групп аминокислот шелка является важным фактором, определяющим гладкость шелковой нити. Другие аминокислоты имеют гораздо более крупные и сложные боковые группы.

Подобно целлюлозе, шелк является полимером — макромолекулой, состоящей из повторяющихся звеньев. Однако в отличие от целлюлозы, в которой все звенья одинаковы, звенья белковой молекулы — аминокислоты — несколько различаются. Точнее, все части аминокислот, образующих полимерную цепь, одинаковы, а различаются их боковые группы.

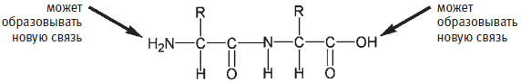
При соединении двух аминокислот происходит удаление атома водорода от группы NH2 (N-конец) и OH от группы COOH (C-конец). В результате образуется так называемая амидная группа. Возникающую при этом связь между углеродом одной аминокислоты и азотом другой аминокислоты называют пептидной связью.

Конечно, на одном конце этой вновь образовавшейся молекулы сохраняется группа OH, которая может участвовать в образовании следующей пептидной связи с другой аминокислотой. А на другом конце молекулы сохраняется группа NH2 (иногда ее записывают как H2N), которая тоже может образовывать новую пептидную связь.

Амидную группу

обычно изображают в сжатом виде:

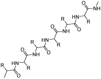
Если к этой молекуле присоединятся две новые аминокислоты, образуется цепочка из четырех аминокислот, соединенных между собой амидными связями.

Здесь изображена цепочка из четырех аминокислотных остатков с четырьмя боковыми группами R, R', R'' и R'''. Эти группы могут различаться. В нашей цепочке всего четыре аминокислоты, но возможное число различных последовательностей уже достаточно велико. Поскольку есть двадцать два варианта каждой боковой группы, существует 224 = 234256 вариантов цепи из четырех аминокислот. Даже такой маленький белок, как гормон поджелудочной железы инсулин, регулирующий метаболизм глюкозы, состоит из 51 аминокислоты, так что гипотетическое количество вариантов последовательности такого белка составляет 2251 = 2,9 х 1068, или миллиарды миллиардов.

Примерно 80–85 % аминокислотной последовательности белка шелка составляет повторяющаяся последовательность глицин-серин-глицин-аланин-глицин-аланин. Такой полимер имеет зигзагообразную структуру, с каждой стороны которой происходит чередование боковых групп.

Зигзагообразная структура белка шелка: с каждой стороны цепи происходит чередование R-групп

Эта белковая цепь укладывается параллельно соседним цепям, идущим в противоположном направлении. Цепи удерживаются между собой благодаря перекрестному взаимодействию (на рисунке показано пунктиром).

  • Читать дальше
  • 1
  • ...
  • 23
  • 24
  • 25
  • 26
  • 27
  • 28
  • 29
  • 30
  • 31
  • 32
  • 33
  • ...

Ебукер (ebooker) – онлайн-библиотека на русском языке. Книги доступны онлайн, без утомительной регистрации. Огромный выбор и удобный дизайн, позволяющий читать без проблем. Добавляйте сайт в закладки! Все произведения загружаются пользователями: если считаете, что ваши авторские права нарушены – используйте форму обратной связи.

Полезные ссылки

  • Моя полка

Контакты

  • chitat.ebooker@gmail.com

Подпишитесь на рассылку: