Вход/Регистрация
Пуговицы Наполеона. Семнадцать молекул, которые изменили мир
вернуться

Берресон Джей

Шрифт:

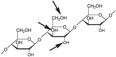
Участок молекулы целлюлозы. На примере одного остатка глюкозы стрелками показаны те OH-группы, по которым может происходить нитрование.

Шардонне запатентовал свое открытие в 1885 году, а в 1891 году начал производить искусственный шелк. Однако вскоре стал проявляться недостаток этого материала — его горючесть. Однажды во время танца джентльмен, куривший сигару, стряхнул пепел на платье своей дамы, изготовленное из “шелка Шардонне”. Сообщалось, что одежда исчезла в пламени и дыму (что случилось с дамой, неизвестно). Этот инцидент, а также несколько несчастных случаев на заводе привели к остановке производства. Но Шардонне не отступился. К 1895 году он разработал другой процесс, включающий стадию денитрирования, в результате чего ему удалось получить гораздо более безопасный искусственный шелк, который был не опаснее натурального хлопка.

В 1901 году в Англии Чарльз Кросс и Эдвард Бивен предложили процесс получения вискозы (от англ. viscosity — вязкость), название которой связано со свойствами материала. Когда жидкую вискозу продавливали через прядильные отверстия в емкость с кислым раствором, происходила регенерация целлюлозы в виде тонких нитей, названных вискозным шелком. Этот процесс лег в основу производства, запущенного Американской вискозной компанией (основана в 1910 году) и компанией “Дюпон” (основана в 1921 году). К 1938 году ежегодный объем производства вискозного шелка превысил сто тысяч тонн, что покрывало растущий спрос на новые синтетические волокна, обладающие знаменитым шелковым блеском.

Производство вискозы продолжается до сих пор. Основным продуктом сейчас является рэйон — искусственный шелк, подобный вискозному шелку, нити которого состоят из целлюлозы. Этот материал также является полимером, состоящим из звеньев -глюкозы, однако в данном случае регенерацию целлюлозы осуществляют под небольшим натяжением, в результате чего нити целлюлозы закручиваются несколько иначе, и получающийся материал имеет сильный блеск. Рэйон отличается чистым белым цветом и может быть окрашен в любые тона, подобно хлопку. Однако у него есть некоторые недостатки. В то время как складчатая структура натурального шелка (гибкая, но устойчивая к натяжению) делает его идеальным материалом для изготовления чулок, целлюлоза впитывает влагу, и чулки из района растягиваются и обвисают. Не слишком привлекательно.

Нейлон — новый искусственный шелк

Нужен был новый искусственный материал, обладавший преимуществами рэйона и избавленный от его недостатков. Такой материал, нейлон, не являющийся производным целлюлозы, был создан химиком, нанятым компанией “Дюпон” в 1938 году. В конце 20-х годах “Дюпон” заинтересовали новые полимерные материалы. Компания предложила 31-летнему химику-органику Уоллесу Хьюму Карозерсу, работавшему в Гарвардском университете, практически неограниченный бюджет для проведения независимых исследований. В 1928 году Карозерс приступил к работе в новой лаборатории компании, предназначенной для фундаментальных исследований. Сам этот факт был довольно необычен, поскольку химические компании крайне редко занимаются фундаментальными исследованиями, оставляя эту работу университетам.

Карозерс решил заняться полимерами. В то время многие химики считали, что полимеры представляют собой группы молекул, слипшихся друг с другом и образующих коллоидные структуры. (Отсюда и происходит слово “коллодий” — производное нитроцеллюлозы, использовавшееся в фотографии и производстве “шелка Шардонне”.) Иной подход к полимерам, который отстаивал немецкий химик Герман Штаудингер, заключался в том, что полимеры — это необыкновенно длинные молекулы. Самая большая молекула, синтезированная на тот момент знаменитым химиком и специалистом в области сахаров Эмилем Фишером, имела молекулярную массу 4200 (молекула воды имеет молекулярную массу 18, а молекула глюкозы — 180). Через год после начала работы в компании “Дюпон” Карозерс сумел синтезировать молекулу полиэфира с молекулярной массой 5000. Затем ему удалось довести это значение до двенадцати тысяч, что поддерживало представление о полимерах как о гигантских молекулах (за эту теорию Штаудингер в 1953 году был удостоен Нобелевской премии по химии).

Первый созданный Карозерсом полимер сначала казался пригодным для промышленного использования. При высушивании он не становился хрупким или жестким. К сожалению, он плавился в горячей воде, растворялся в обычных моющих средствах и через несколько недель распадался. На протяжении четырех лет Карозерс с коллегами создавали различные типы полимеров и изучали их свойства, пока наконец не получили нейлон, свойства которого напоминали свойства натурального шелка и который достоин был называться искусственным шелком.

Нейлон представляет собой полиамид. Это значит, что в нем, как и в шелке, мономерные звенья удерживаются друг с другом за счет амидных связей. Однако каждое аминокислотное звено в молекуле белка шелка имеет на одном конце кислотную группу, а на другом аминогруппу, в то время как в нейлоне чередуются две разные мономерные единицы: одна с двумя кислотными группами, одна с двумя аминогруппами. Первый мономер, адипиновая кислота, имеет на каждом конце по COOH-группе.

Структура адипиновой кислоты, имеющей на каждом конце кислотную группу (которую с правой стороны цепи принято записывать как COOH, а с левой стороны — как HOOC)

В сжатом виде эта формула выглядит так:

Сжатая форма изображения структуры адипиновой кислоты

Другое мономерное звено, 1,6-диаминогексан, имеет очень похожую структуру, однако вместо кислотных групп на концах этой молекулы располагаются аминогруппы (NH2). Ниже представлена структура 1,6-диаминогексана, изображенная в развернутом и в сжатом виде:

Структура 1,6-диаминогексана

  • Читать дальше
  • 1
  • ...
  • 25
  • 26
  • 27
  • 28
  • 29
  • 30
  • 31
  • 32
  • 33
  • 34
  • 35
  • ...

Ебукер (ebooker) – онлайн-библиотека на русском языке. Книги доступны онлайн, без утомительной регистрации. Огромный выбор и удобный дизайн, позволяющий читать без проблем. Добавляйте сайт в закладки! Все произведения загружаются пользователями: если считаете, что ваши авторские права нарушены – используйте форму обратной связи.

Полезные ссылки

  • Моя полка

Контакты

  • chitat.ebooker@gmail.com

Подпишитесь на рассылку: