Вход/Регистрация
Пуговицы Наполеона. Семнадцать молекул, которые изменили мир
вернуться

Берресон Джей

Шрифт:

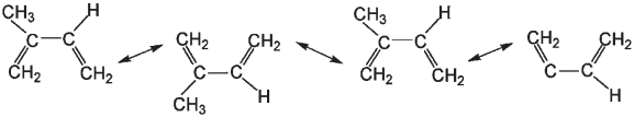
К 1835 году стало ясно, что из резины с помощью дистилляции можно выделить изопрен и что резина, по-видимому, является полимером, состоящим из повторяющихся звеньев изопрена. Через несколько лет, когда удалось полимеризовать изопрен с образованием резиновой массы, эта гипотеза была доказана. Структурную формулу изопрена обычно изображают так:

Здесь у каждого из двух соседних атомов углерода имеется двойная связь, а вокруг одинарной связи, соединяющей центральные атомы углерода, возможно свободное вращение.

Понятно, что эти две структуры, образующиеся в результате вращения вокруг одинарной связи, описывают одно и то же вещество. При образовании природной резины молекулы изопрена присоединяются друг к другу “хвост в хвост”. В результате полимеризации изопрена образуются так называемые двойные цис-связи. Двойная связь придает молекуле жесткость и предотвращает вращение. Поэтому изображенная слева на рисунке так называемая цис-форма отличается от изображенной справа так называемой трансформы.

Цис-форма

Транс-форма

В цис-структуре два атома водорода (а также CH3 группы) располагаются с одной и той же стороны от двойной связи, а в транс-структуре атомы водорода (и CH3 группы) располагаются по разные стороны от двойной связи. Это, казалось бы, незначительное различие в расположении групп и атомов по отношению к двойной связи оказывает чрезвычайно сильное влияние на свойства полимеров изопрена. Стоит сказать, что изопрен — это лишь одно из многих органических соединений, существующих в цис— и транс-форме, и в каждом случае химических вещества с разным расположением групп относительно двойной связи заметно отличаются по своим свойствам.

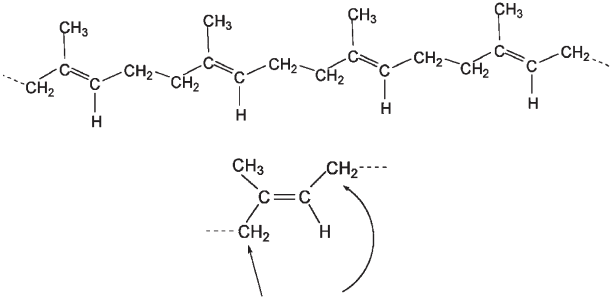
На рисунке внизу изображены четыре молекулы изопрена, готовые вступить в реакцию с образованием молекулы природной резины:

На следующей странице пунктирными линиями обозначено продолжение полимерной цепи, которое может происходить в случае присоединения новых молекул изопрена.

Фрагмент структуры природной резины

При соединении молекул изопрена образуются новые двойные связи. Все они имеют цис-форму по отношению к полимерной цепи; это означает, что “вход” и “выход” полимерной цепи в каждое мономерное звено осуществляется с одной и той же стороны от двойной связи.

Атомы углерода, продолжающие полимерную цепь, располагаются с одной и той же стороны от двойной связи, следовательно, это цис-изомер

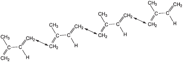
Такое строение цепи имеет определяющее значение для эластичности резины. Однако в природе полимеризация изопрена не всегда происходит именно таким образом. Если присоединение звеньев идет в транс-положении, получается полимер, свойства которого отличаются от свойств природного каучука. Если молекулу изопрена повернуть так, как показано на рисунке:

а затем соединить четыре такие молекулы,

то получится транс-изомер каучука.

Продолжающаяся углеродная цепь подходит к этой двойной связи с разных сторон. Таким образом, здесь изображен транс-изомер.

Этот транс-изомер встречается в природе в виде двух веществ — гуттаперчи и балаты. Гуттаперчу получают из млечного сока различных представителей семейства Sapotaceae, в частности деревьев рода Palaquium, произрастающих на полуострове Малакка. Примерно на 80 % гуттаперча состоит из трансизомера изопрена. Балата, которую получают из млечного сока растения Mimusopsglobosa, произрастающего в Панаме и на севере Южной Америки, содержит аналогичный трансполимер. Как гуттаперчу, так и балату можно плавить и формовать, но через некоторое время под действием воздуха эти вещества твердеют и роговеют. Однако под водой этого не происходит, поэтому в конце XIX и начале XX века гуттаперчу широко использовали в качестве покрытия для подводной части кабелей. Гуттаперчу также применяли врачи и дантисты, например, для изготовления шин, катетеров и щипцов, для припарок от нарывов и в качестве пломбировочного материала для лечения зубов.

Ценные свойства гуттаперчи и балаты, возможно, более всего оценили любители гольфа. Сначала мячи для гольфа были деревянными, чаще всего их делали из древесины вяза или березы. Однако в начале XVIII века шотландцы изобрели “перьевые” мячи — кожаные мячи с набивкой из гусиных перьев. Такие мячи летели примерно вдвое дальше деревянных, однако они намокали и в сырую погоду вели себя непредсказуемо. Кроме того, со временем эти мячи рассыпались, причем были в десять с лишним раз дороже деревянных.

Наконец в 1848 году появились гутти. Эти мячи делали из гуттаперчи, которую кипятили в воде, а затем вручную (позднее с помощью металлических отливок) лепили из нее шар и оставляли твердеть. Такие мячи вскоре стали очень популярными, но и у них были свои недостатки. Со временем транс-изомер изопрена становится жестким, так что старые гуттаперчевые мячи частенько разваливались прямо во время игры. Правила игры в гольф это учитывали, и в такой ситуации игроку разрешалось взять новый мяч, поставив его в то место, куда упал самый крупный фрагмент рассыпавшегося мяча. Кроме того, истертые и ободранные мячи летели дальше. В общем, производители задумались над разработкой новых мячей и наконец создали современные мячи, поверхность которых покрыта небольшими углублениями. В конце XIX века цис-изомер изопрена также проник в сферу гольфа: появились мячи с гуттаперчевым ядром и оболочкой из каучука. Сегодня мячи для гольфа делают из множества разных материалов. Некоторые из них содержат каучук. Покрытие до сих пор иногда делают из транс-изомера изопрена, но чаще из балаты, чем из гуттаперчи.

  • Читать дальше
  • 1
  • ...
  • 32
  • 33
  • 34
  • 35
  • 36
  • 37
  • 38
  • 39
  • 40
  • 41
  • 42
  • ...

Ебукер (ebooker) – онлайн-библиотека на русском языке. Книги доступны онлайн, без утомительной регистрации. Огромный выбор и удобный дизайн, позволяющий читать без проблем. Добавляйте сайт в закладки! Все произведения загружаются пользователями: если считаете, что ваши авторские права нарушены – используйте форму обратной связи.

Полезные ссылки

  • Моя полка

Контакты

  • chitat.ebooker@gmail.com

Подпишитесь на рассылку: