Вход/Регистрация
Математика от А до Я: Справочное пособие (издание третье с дополнениями)
вернуться

Романов Алексей Михайлович

Шрифт:

6. Пары от мгновенного испарения жидкости зажигаются и образуют огневой шар.

Если взрыв паров расширяющейся жидкости произошел не в результате пожара, то после испарения сжиженного газа может произойти взрыв парового облака в неограниченном пространстве.

Объемный пылевой взрыв

Обычно возникает при воспламенении пылевоздушных смесей, содержащих мелкие горючие частички твердых веществ. Известны объемные взрывы на мукомольных, деревообрабатывающих, горнорудных предприятиях [1, 103, 105].

Для того, чтобы произошел взрыв пылевого облака внутри зданий и в оборудовании необходимо инициирующее внешнее воздействие при достаточно высокой, непереносимой человеком, концентрации пыли; эти объемы обычно непрозрачны. Такие облака могут сохранятся довольно длительное время внутри оборудования (например, элеватора и механизмов дробления), однако, они не могут существовать в течении длительного промежутка времени внутри зданий.

Взрывы пылевого облака опасны тем, что первоначальный инициирующий взрыв способствует возмущению и турбулизации пыли, что приводит к последующему более мощному взрыву. Поэтому взрыв, произошедший в оборудовании, может привести ко вторичному взрыву, который охватит все здание и вызовет намного больший ущерб.

Пылевые взрывы наиболее трудно классифицировать и привести к общей характеристике. Частички пыли сильно отличаются по величине и их размеры на несколько порядков больше, чем у молекул газа. К тому же на поведение частичек пыли большое влияние оказывает электростатическое притяжение.

Экспериментально установлено, что для того чтобы вызвать взрыв, пылевая взвесь должна обладать следующими характеристиками:

• частицы должны быть меньше определенного минимального размера (в литературе дается значение 76 мкм [105]);

• концентрация пыли должна находится в определенных границах. Верхние концентрационные пределы распространения пламени (ВКПР) обычно достаточно велики, и достичь их в производственных помещениях практически невозможно. Поэтому наиболее важен нижний предел, а также более высокие концентрации, при которых достигается максимальная объемная плотность энерговыделения;

• пыль должна быть примерно однородна.

Для большинства пылевых облаков нижний предел концентрации взрыва находится между 20 и 60 г/м3, а верхний предел между 2 и 6 кг/м3 [105].

Взрывы могут протекать в режиме детонации или в режиме дефлаграции; различие основано на скорости ударной волны, возникающей в результате взрыва. Если скорость распространения ударной волны выше, чем скорость звука в непрореагировавшей среде, то это детонация. Если же ниже, то — дефлаграция.

Взаимоотношения между фронтом ударной волны и фронтом реакции определяются режимом взрыва. При дефлаграции давление обычно увеличивается на несколько атмосфер. При детонации давление увеличивается в десятки раз. Существенно различаются и импульсные характеристики взрыва.

Существует два механизма, приводящих к детонации. В первом механизме — тепловом — происходит увеличение температуры реакционной смеси, приводящее к самоускорению скорости реакции. Во втором механизме — цепном разветвленном — происходит быстрое увеличение количества реагирующих свободных радикалов. Обычно этот процесс происходит, если в результате реакции от одного свободного радикала получается два.

Дефлаграция может переродится в детонацию. Это часто происходит в трубопроводах, но маловероятно в сосудах и на открытом пространстве.

В настоящее время не создана модель, позволяющая однозначно предсказать скорость взрывного превращения. В [106] рекомендуется для инженерной оценки использовать специальную экспертную таблицу института Химической Физики РАН.

В этой таблице представлены топлива, способные к образованию горючих смесей с воздухом, которые разделены на классы по чувствительности к инициированию взрывных процессов. Геометрические характеристики окружающего пространства также разделены на несколько классов в зависимости от степени их потенциальной опасности (степени загроможденности). В зависимости от типа вещества и степени загроможденности пространства можно определить наиболее вероятный режим взрывного превращения смеси.

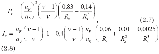
Используя обобщенные экспериментальные исследования по взрыву определенных объемов газовоздушных смесей, как правило стехиометрического или близкого к нему состава, однородного по объему, с исходной геометрией, близкой к сферической и, в основном, с центральным поджиганием, получены [106] зависимости величины избыточного давления и импульса фазы сжатия для режима дефлаграции. Они записываются так:

где UF — скорость фронта пламени, v — степень расширения продуктов сгорания, а0 — скорость звука в воздухе.

  • Читать дальше
  • 1
  • ...
  • 17
  • 18
  • 19
  • 20
  • 21
  • 22
  • 23
  • 24
  • 25
  • 26
  • 27
  • ...

Ебукер (ebooker) – онлайн-библиотека на русском языке. Книги доступны онлайн, без утомительной регистрации. Огромный выбор и удобный дизайн, позволяющий читать без проблем. Добавляйте сайт в закладки! Все произведения загружаются пользователями: если считаете, что ваши авторские права нарушены – используйте форму обратной связи.

Полезные ссылки

  • Моя полка

Контакты

  • chitat.ebooker@gmail.com

Подпишитесь на рассылку: