Вход/Регистрация
Фейнмановские лекции по физике. 6. Электродинамика
вернуться

Фейнман Ричард Филлипс

Шрифт:

Эти два выражения справедливы лишь для статических полей, но, объединив их, мы получим правильный результат для любого, статического или динамического, электромаг­нитного поля. Именно этот закон и заменяет собой формулу F= q(E+vXВ). Мы сейчас, однако, будем говорить только о статическом магнитном поле.

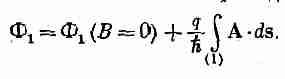
Положим, что опыт с двумя щелями проводится в магнитном поле. Мы хотим узнать, с какой фазой достигают экрана две волны, пути которых пролегают через две разные щели. Их интерференция определяет то место, где окажется максимум вероятности. Фазу волны, бегущей по траектории (1), мы назо­вем Ф1; а через Ф1 (В = 0) обозначим фазу, когда магнитного поля нет. Тогда после включения поля фаза достигает величины

(15.30)

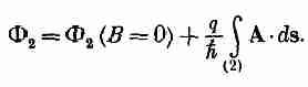
Аналогично, фаза для траектории (2) равна

(15.31)

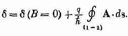
Интерференция волн в детекторе зависит от разности фаз

Разность фаз в отсутствие поля мы обозначим d (В = 0); это та самая разность, которую мы подсчитали в уравнении (15.28). Кроме того, мы замечаем, что из двух интегралов можно сделать один, идущий вперед по пути (1), а назад — по пути (2); этот замкнутый путь будет обозначаться (1—2). Так что получается

(15.33)

Это уравнение сообщает нам, как под действием магнитного поля изменяется движение электрона; с его помощью мы мо­жем найти новые положения максимумов и минимумов интен­сивности.

Прежде чем сделать это, мы хотим, однако, поставить один интересный и важный вопрос. Вы помните, что в вектор-потен­циальной функции есть некоторый произвол. Две разные век­тор-потенциальные функции А и А', отличающиеся на гра­диент Сy некоторой скалярной функции, представляют одно и то же магнитное поле (потому что ротор градиента равен нулю). Они поэтому приводят к одной и той же классической силе qvXВ. Если в квантовой механике все эффекты зависят от векторного потенциала, то какая из многих возможных А-функций правильна?

Ответ состоит в том, что в квантовой механике продолжает существовать тот же произвол в А. Если в уравнении (15.33) мы заменим А на А' = А+Сy, то интеграл от А пре­вратится в

Интеграл от Сy вычисляется по замкнутому пути (1—2); но интеграл от касательной составляющей градиента по замкну­тому пути всегда равен нулю (по теореме Стокса). Поэтому как А, так и А' приводят к одним и тем же разностям фаз и к од­ним и тем же квантовомеханическим эффектам интерференции. И в классической, и в квантовой теории важен только ротор 4; любая функция А, у которой ротор такой, как надо, приводит к правильной теории.

Тот же вывод становится очевидным, если мы используем результаты, приведенные в гл. 14, § 1. Там мы показали, что контурный интеграл от А по замкнутому пути равен потоку В через контур, в данном случае потоку между путями (1) и (2). Уравнение (15.33) можно, если мы хотим, записать в виде

где под потоком В, как обычно, подразумевается поверхностный интеграл от нормальной составляющей В. Результат зависит только от В, т. е. только от ротора А.

Но раз результат можно выражать и через В и через А, то может создаться впечатление, что В удерживает свои позиции «реального» поля, а А все еще выглядит искусственным образо­ванием. Но определение «реального» поля, которое мы вначале предложили, основывалось на идее о том, что «реальное» поле не смогло бы действовать на частицу на расстоянии. Мы же беремся привести пример, в котором В равно нулю (или по крайней мере сколь угодно малому числу) в любом месте, где частицы могут оказаться, так что невозможно представить себе, что В непосредственно действует на них.

Вы помните, что если имеется длинный соленоид, по кото­рому течет электрический ток, то поле В существует внутри него, а снаружи поля нет, тогда как множество векторов А циркулирует снаружи соленоида (фиг. 15.6). Если мы создадим такие условия, что электроны будут проходить только вне соле­ноида (только там, где есть А), то, согласно уравнению (15.33),

соленоид будет все же влиять на их движение.

Фиг. 15.6. Магнитное поле и векторный потенциал длинного соленоида.

По классическим же воззрениям это невозможно. По классическим представлениям сила зависит только от В. Чтобы узнать, течет ли по соле­ноиду ток, частица должна пройти сквозь него. А квантовая механика утверждает, что наличие магнитного поля в соле­ноиде можно установить, просто обойдя его, даже не прибли­жаясь к нему вплотную!

Представьте, что мы поместили очень длинный соленоид ма­лого диаметра прямо тут же за стенкой между двумя щелями (фиг. 15.7). Диаметр соленоида должен быть намного меньше расстояния d между щелями. В этих обстоятельствах дифракция электронов на щели не приведет к заметным вероятностям того, что электроны проскользнут где-то близ соленоида. Как же все это повлияет на наш интерференционный эксперимент?

  • Читать дальше
  • 1
  • 2
  • 3
  • 4
  • 5
  • 6
  • 7
  • 8
  • 9
  • 10
  • 11
  • 12
  • ...

Ебукер (ebooker) – онлайн-библиотека на русском языке. Книги доступны онлайн, без утомительной регистрации. Огромный выбор и удобный дизайн, позволяющий читать без проблем. Добавляйте сайт в закладки! Все произведения загружаются пользователями: если считаете, что ваши авторские права нарушены – используйте форму обратной связи.

Полезные ссылки

  • Моя полка

Контакты

  • chitat.ebooker@gmail.com

Подпишитесь на рассылку: