Вход/Регистрация
200 занимательных логических задач
вернуться

Гусев Дмитрий Алексеевич

Шрифт:

159. С перчатками дело обстоит не так просто, как с носками, ведь они отличаются друг от друга не только цветом, но еще и тем, что половина из них – правые, а половина – левые. Чтобы с гарантией получить совпадающую пару, надо достать из шкафа 21 перчатку. Если извлечь меньшее количество, например, 20 перчаток, то может получиться, что все они будут на одну и ту же руку (10 серых левых перчаток и 10 черных тоже левых).

160. Может показаться, что нужно совершить миллионы делений тетрадной странички, чтобы она стала размером с атом. На самом же деле надо будет сделать намного меньше делений. Любое последовательное удвоение (в сторону увеличения или уменьшения) – это последовательное возведение 2 в степень: 21 = 2; 22 = 4; 23 = 8; 24 = 16 и т. д. (увеличение) или 2– 1 = 1/2 ; 2– 2 = 1/4 ; 2– 3 = 1/8; 2– 4 = 1/16 и т. д. (уменьшение). Даже устно можно вычислить, что 210 1000 и 2– 10 1/1000 или, что то же самое, 210 103 и 2– 10 10– 3. Если 10– 24 (примерный вес атома) в восемь раз меньше, чем 10– 3 и, как мы уже выяснили, 10– 3 2– 10, то 10– 24 2– 80. Последовательное же возведение 2 в отрицательную степень – это не что иное, как последовательное деление пополам (см. выше). Значит, потребуется примерно всего 80 последовательных делений тетрадной странички пополам для того, чтобы она превратилась в частицу атомных размеров.

161. Не подумав, можно сразу ответить, что игрушечный кирпичик весит 2 кг, т. е. вдвое меньше. Однако он не только вдвое короче, чем настоящий кирпич, но и вдвое уже, а также вдвое ниже. Следовательно, его объем и вес меньше в 2 x 2 x 2 = 8 раз. Значит, игрушечный кирпичик весит 4 кг: 8 = 0,5 кг.

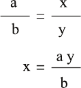
162. На первый взгляд может показаться, что определить высоту башни по ее фотоснимку невозможно. Однако это не так. Если фотография верно передает пропорции изображенных на ней объектов, то высота башни на фотографии во столько же раз больше ее основания, во сколько раз ее реальная высота больше ее реального основания. Значит, необходимо измерить длину основания и высоту башни на фотографии, а также – длину реального основания. Последнее измерение можно сделать с помощью рулетки если башня прямоугольная; если же она круглая, то длину окружности ее основания можно измерить с помощью шнура или той же рулетки, а потом найти диаметр основания, разделив длину окружности на число «пи». Зная все эти величины легко вычислить действительную высоту башни. Допустим, высота и длина основания башни – это, соответственно a и b, а реальные высота и длина основания – это x и y. В этом случае имеем:

163. Поначалу кажется, что это число 1111. И действительно, какое же еще большее число можно изобразить с помощью четырех единиц, не употребляя при этом никаких знаков действий? Однако число, большее 1111 во много раз – это 1111.

164. Это утверждение верно. Трехногий стол всегда будет касаться поверхности, на которой он стоит, концами трех своих ножек, потому что (вспомните геометрию) через каждые три точки пространства проходит только одна плоскость (как и через две точки проходит только одна прямая). Именно поэтому стол с тремя ножками никогда не качается. Четвертая ножка не сделала бы его устойчивее и даже наоборот: пришлось бы всякий раз заботиться о том, чтобы стол с четырьмя ножками не качался, подкладывая под них различные выравнивающие предметы. По этой же причине для устойчивости землемерных и фотографических приборов используют треноги. Как видим, данная задача не физическая (как может показаться), а геометрическая.

165. Обычно кажется, что линия горизонта находится на уровне наших глаз. Однако это впечатление обманчиво. На самом деле линия горизонта расположена ниже уровня глаз, о чем свидетельствует простой схематический рисунок.

Кроме того, даже если бы земля была не шарообразной, а плоской, то линия горизонта все равно находилась бы ниже уровня глаз наблюдателя.

То, что она располагается на уровне глаз – иллюзия. Причем, когда мы поднимаемся над земной поверхностью (например, на воздушном шаре), то кажется, что линия горизонта остается на уровне глаз, т. е. как бы поднимается вместе с нами.

166. Наименьшее целое положительное число, которое можно написать двумя цифрами, не употребляя никаких знаков действий, – это не 10 (как можно предположить), а единица, представленная в виде 11, 12, 13 и т. д. до 19, а также 10, 20 и т. д. до 90 (т. к. любое число в нулевой степени равно единице).

167. Предположение, что угол будет казаться величиной в 8°, неверно. Величина угла никак не изменится при рассматривании его через увеличительное стекло. В этом случае увеличится длина дуги, стягивающей угол, и во столько же раз увеличится радиус этой дуги.

168. Кажется, что при понижении температуры всего на 1° укорочение проволоки и ее углубление в землю будет минимальным, фактически незаметным. Однако это не так. Когда проволока стала короче, уменьшилась длина окружности, стягивающей земной шар, следовательно, уменьшился и ее радиус. Очевидно, что величина уменьшения радиуса и есть величина углубления проволоки в землю. Если длина экваториальной проволоки – 40 000 000 м, то при ее охлаждении на 1°, она укоротилась на 400 м (см. условие задачи). Насколько при этом уменьшится радиус данной проволочной окружности? Вспомним, что радиус любой окружности всегда в 2 или в 6,28 раз меньше ее длины (L = 2R). Значит, если длина окружности уменьшилась на 400 м, то ее радиус стал меньше на 400: 6, 28 64 м. Таким образом, проволока углубится в землю примерно на 64 м, а не на несколько миллиметров, как может показаться.

169. На первый взгляд определить величину угла безо всяких измерений не представляется возможным. Тем не менее, данная задача вполне разрешима. Пусть дан угол AOB (см. рисунок). Построим окружность произвольного радиуса с центром в точке О. Точки C и D, в которых она пересекается со сторонами угла, соединим отрезком. Получится хорда CD. Далее надо от точки C откладывать хорду CD при помощи циркуля до тех пор, пока его ножка не совпадет с исходной точкой C. При этом надо посчитать, сколько раз была отложена хорда и сколько раз была обойдена окружность. Когда мы откладываем хорду, мы как бы увеличиваем неизвестную нам величину угла AOB в x раз (количество отложенных хорд).

Количество обходов окружности примем за y. Увеличив угол AOB в x раз, мы обошли окружность (360°) · y раз. Таким образом, получается, что AOB · x = 360° · y. Следовательно, AOB = (360 · y): x, т. е. чтобы найти величину угла надо количество обходов окружности умножить на 360° и разделить получившийся результат на количество отложенных хорд. Как видим, задача решается действительно безо всяких измерений. Также она не требует никаких познаний в геометрии, кроме того, что окружность состоит из 360°. Данная задача не столько геометрическая, сколько логическая. Кстати, при отсутствии циркуля можно начертить окружность с помощью булавки и нитки и отложить хорду, используя те же приспособления.

  • Читать дальше
  • 1
  • ...
  • 19
  • 20
  • 21
  • 22
  • 23
  • 24
  • 25
  • 26
  • 27
  • 28

Ебукер (ebooker) – онлайн-библиотека на русском языке. Книги доступны онлайн, без утомительной регистрации. Огромный выбор и удобный дизайн, позволяющий читать без проблем. Добавляйте сайт в закладки! Все произведения загружаются пользователями: если считаете, что ваши авторские права нарушены – используйте форму обратной связи.

Полезные ссылки

  • Моя полка

Контакты

  • chitat.ebooker@gmail.com

Подпишитесь на рассылку: