Вход/Регистрация
Мир математики. т.4. Когда прямые искривляются. Неевклидовы геометрии
вернуться

Гомес Жуан

Шрифт:

справедливо следующее соотношение:

a/sin A = b/sin В = c/sin С

Аналогичное соотношение можно сформулировать в гиперболической тригонометрии:

sin A/sha = sin B/sh b = sin С/sh c

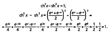
Чтобы проверить гиперболические равенства, нужно подставить вместо гиперболических функций их определения:

и затем, выполнив соответствующие расчеты, убедиться, что получится один и тот же ответ.

Используя определения гиперболических синуса и косинуса, можно вывести и другие тригонометрические тождества, аналогичные известным тождествам из евклидовой геометрии. Например, мы можем проверить, что

ch(x + у) = chx·chy + shx·shy

аналогично традиционному выражению

cos(x + у) = cosx·cosy + sinx·siny

* * *

ОСНОВНОЕ ТОЖДЕСТВО ГИПЕРБОЛИЧЕСКОЙ ТРИГОНОМЕТРИИ

В евклидовой тригонометрии есть важное соотношение, называемое основным тригонометрическим тождеством, которое утверждает, что sin2x + cos2x = 1. Аналогом в гиперболической тригонометрии является следующее тождество:

ВОПРОС ТЕРМИНОЛОГИИ

В евклидовой терминологии синус и косинус называются круговыми функциями, поскольку они получаются из свойств круга. Рассмотрим окружность радиуса 1 с центром в начале системы координат. Уравнение этой окружности записывается как х2 + у2 = 1. В этом простом уравнении мы можем сделать замену переменной, выразив переменные х и у через параметр t следующим образом: х = cost и у = sint. Здесь х и у удовлетворяют соотношению х2 + у2 = 1. Такое уравнение называется параметрическим уравнением окружности.

Если вместо круга мы возьмем гиперболу, график функции х2 — у2 = 1, то х = ch t и у = sh t удовлетворяют соотношению х2  — у2 = 1. Это уравнение называется «уравнением гиперболы».

Эти графики нам уже знакомы. Гипербола напоминает нам псевдосферу.

* * *

Что касается тангенсов, то можно показать, что

аналогично традиционному выражению

* * *

ЕВКЛИДОВА ТРИГОНОМЕТРИЯ

Тригонометрические тождества для суммы и разности выглядят следующим образом:

sin(x + у) = sinx·cosy + cosx·siny

cos(x + у) = cosx·cosy — sinx·siny

sin(x — y) = sinx·cosy — cosx·siny

cos(x — y) = cosx·cosy + sinx·siny

* * *

РЕШЕНИЕ ГИПЕРБОЛИЧЕСКОГО ТРЕУГОЛЬНИКА ПО ЕГО УГЛАМ

Пусть в гиперболическом треугольнике даны внутренние углы А = 8°, В = 22° и С = 40°. Надо найти угловой дефект и длины сторон треугольника.

Угловой дефект считается по формуле 180° — (8° + 22° + 40°) = 110°. Для вычисления длин сторон мы воспользуемся гиперболической теоремой косинусов и получим

Это позволяет нам вычислить значение а. Для этого воспользуемся калькулятором и посчитаем функцию, обратную гиперболическому косинусу. Получим значение 2,642857562. Далее

что дает нам длину b = 3,628644458. И наконец

К счастью, современные калькуляторы имеют эти функции, и расчеты можно делать без утомительных промежуточных вычислений.

* * *

Аналогично можно проверить другие соотношения с помощью определений гиперболических синуса и косинуса.

По таблице традиционных тригонометрических тождеств можно составить аналогичные соотношения гиперболической геометрии. Просто надо от функций sinх и cosх перейти к гиперболическим функциям shх и chх соответственно, внося необходимые поправки, поскольку, как мы видели, разница состоит не только в обозначениях. Необходимо, например, изменить знак каждого члена, содержащего произведение двух гиперболических синусов.

Это простое правило позволяет получить соотношения для гиперболической тригонометрии из их евклидовых аналогов:

sh(x + у) = shx·chy + chx·shy

sh(x — у) = shx·chy — chx·shy

ch(x + y) = chx·chy + shx·shy

ch(x — y) = chx·chy — shx·shy

  • Читать дальше
  • 1
  • ...
  • 18
  • 19
  • 20
  • 21
  • 22
  • 23
  • 24
  • 25
  • 26
  • 27
  • 28
  • ...

Ебукер (ebooker) – онлайн-библиотека на русском языке. Книги доступны онлайн, без утомительной регистрации. Огромный выбор и удобный дизайн, позволяющий читать без проблем. Добавляйте сайт в закладки! Все произведения загружаются пользователями: если считаете, что ваши авторские права нарушены – используйте форму обратной связи.

Полезные ссылки

  • Моя полка

Контакты

  • chitat.ebooker@gmail.com

Подпишитесь на рассылку: