Вход/Регистрация
Стратегическое планирование и контроллинг
вернуться

Бородушко Ирина

Шрифт:

Рассмотрим порядок расчета этих показателей на числовом примере. Пусть на предприятии в 2001 г. чистая прибыль составила 85 млн руб., а средняя стоимость основного капитала – 121 млн руб. По итогам за 2005 г. – 105 и 140 млн руб. соответственно. Произведем расчеты показателей интенсивности изменений в среднем за год.

Результаты расчетов позволяют сделать следующие выводы. Чистая прибыль предприятия в течение последних четырех лет возрастала в среднем ежегодно на 5 млн руб., или на 5,4 % в год. Основной капитал увеличивался ежегодно на 4,75 млн руб., или на 3,7 % в год. Коэффициент опережения показывает, что прирост чистой прибыли идет интенсивнее, чем прирост основного капитала, что свидетельствует о росте эффективности использования производственных ресурсов на предприятии. Таковы были закономерности развития предприятия в ближайшие предшествующие годы. Эта информация может служить ориентиром при определении тенденций на последующие годы.

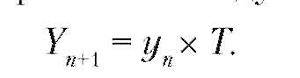
Предположим, что требуется составить прогноз основных производственных показателей по предприятию на период до 2008 г. на основе метода экстраполяции, заключающегося в том, что тенденции прошлых лет распространяются на предстоящие годы. В качестве упрощенного способа прогнозирования можно использовать метод экстраполяции тенденций на основе показателей среднегодового абсолютного прироста или среднегодового темпа роста.

Если исходить из гипотезы, что в течение ближайших трех лет сохранятся неизменными темпы роста чистой прибыли и основного капитала предприятия, то нужно применить следующий алгоритм расчета:

Произведем расчет ожидаемого размера чистой прибыли.

Определим размер основного капитала на следующие три года.

Таким образом, по прогнозу, основанному на гипотезе о постоянстве темпов роста, в 2008 г. предприятие получит чистую прибыль в объеме 122,95 млн руб. и доведет размер основного капитала до 156,12 млн руб. При этом оказывается, что среднегодовой абсолютный прирост показателей за период 2005–2008 гг. выше, чем в периоде 2001–2005 гг., что подтверждается следующими расчетами:

Увеличивается также в 2005–2008 гг. абсолютное значение 1 % среднегодового прироста:

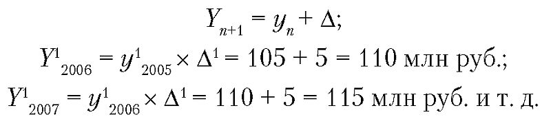
Аналогичным образом может быть произведена экстраполяция тенденций развития на основе показателя среднегодового абсолютного прироста:

Использованный нами метод экстраполяции тенденций на основе средних темпов роста и среднегодового абсолютного прироста представляет собой простейший алгоритм прогнозных расчетов, который допустимо применять лишь в ограниченных хронологических рамках. По мере увеличения горизонта прогноза возрастает вероятность изменения интенсивности экономических процессов. В этих условиях следует обращаться к более совершенным экономико-математическим моделям.

Экономико-математическое моделирование включает две группы методов регрессии: статическое и динамическое моделирование. При статическом моделировании измеряется влияние ряда факторов (х1, х2, х3… хn) на изучаемый показатель (Y). Если изучается показатель чистой прибыли, то в качестве факторов будут выступать такие характеристики, как уровень себестоимости единицы продукции, уровень рыночных цен на продукцию, ставки налогообложения, уровень транзакционных издержек и т. д. Эта зависимость выражается в виде математической функции Y = f(х1, х2, х3… хn), с помощью которой получают количественную меру силы влияния каждого фактора. Характеристики силы связи, называемые коэффициентами регрессии, определяются при построении уравнений регрессии и показывают, на сколько единиц изменится величина изучаемого показателя-следствия (Y) при увеличении значения показателя-фактора (х) на единицу. Построение уравнений регрессии осуществляется на основе компьютерных технологий с использованием пакетов прикладных программ (ППП). Конкретное описание методических особенностей таких расчетов дается в курсе «Эконометрика».

С учетом полученных коэффициентов регрессии методом экспертных оценок формируют гипотезы о предполагаемой силе влияния каждого фактора на каждый год прогнозируемого периода. Если подставить эти гипотетические значения коэффициентов регрессии в уравнение регрессии и произвести соответствующие расчеты, то получим на каждый предстоящий год в пределах горизонта прогноза ожидаемое значение показателя Y.

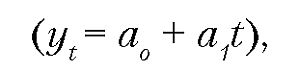
Динамические методы экономико-математического моделирования основаны на использовании информации, представленной в виде динамических рядов. Уровни динамического ряда рассматриваются как функция тенденции (тренда) и различного рода колебаний. В процессе выравнивания колебаний динамического ряда достигается возможность измерить параметры, определяющие тенденцию развития объекта. В итоге вычисляются значения прогнозируемых показателей на предстоящие даты. С использованием специального математического аппарата производится подбор математической функции, наиболее точно описывающей тренд в каждом конкретном ряде динамики. Простейшей является линейная функция:

где a0, a1 – коэффициенты уравнения регрессии; t – время; yt – значение исследуемого параметра.

Возможна также характеристика тренда с помощью параболы второй степени, параболы третьей степени и других функций.

В ходе подготовки аналитических материалов и расчетов значений прогнозируемых показателей кроме методов корреляции и регрессии применяется ряд других экономико-математических методов. Полезным инструментом является метод кластерного анализа, позволяющий провести классификацию изучаемых объектов. При обращении к характеристикам, не имеющим числовой формы выражения (профессия, отрасль, вид деятельности), используются непараметрические методы анализа.

Ранее было сказано, что совокупность методов прогнозирования включает такие методы, как фактографические, экспертные, комбинированные и др. Комплекс фактографических методов мы рассмотрели на примере некоторых статистических моделей. На практике при прогнозировании статистические методы применяются в сочетании с экспертными методами.

Экспертные (интуитивные) методы основаны на использовании оценок специалистов-экспертов. Прогнозирование методом экспертных оценок в большей степени соответствует нормативному прогнозированию процессов развития предприятия. Экспертные методы прогнозирования основаны на суждениях специалистов, формулирующих свои выводы путем комплексного использования накопленных научных знаний и наиболее общей фактографической информации. В качестве экспертов привлекаются наиболее авторитетные специалисты-практики и ученые. Экспертные группы могут быть сформированы в разном количественном составе. В качестве экспертов могут выступать как сотрудники предприятия, так и специалисты со стороны. Существуют различные методы обобщения информации, полученной в результате.

  • Читать дальше
  • 1
  • ...
  • 37
  • 38
  • 39
  • 40
  • 41
  • 42
  • 43
  • 44
  • 45
  • 46
  • 47
  • ...

Ебукер (ebooker) – онлайн-библиотека на русском языке. Книги доступны онлайн, без утомительной регистрации. Огромный выбор и удобный дизайн, позволяющий читать без проблем. Добавляйте сайт в закладки! Все произведения загружаются пользователями: если считаете, что ваши авторские права нарушены – используйте форму обратной связи.

Полезные ссылки

  • Моя полка

Контакты

  • chitat.ebooker@gmail.com

Подпишитесь на рассылку: