Вход/Регистрация
Темная сторона материи. Дирак. Антивещество
вернуться

Коллектив авторов

Шрифт:

Дирак всегда был очарован теорией относительности и мечтал однажды применить ее к квантовому миру. Одну попытку он предпринял после публикации первой работы Гейзенберга, но неудачно. Несколько месяцев спустя, изучая эффект Комптона и волновую механику, он использовал релятивистскую версию уравнения Шрёдингера, которая известна под названием «уравнение Клейна — Гордона» (записываемого как уравнение КГ), по имени физиков Оскара Клейна (1894-1977) и Вальтера Гордона (1893-1939). В свое время Дирак не придавал особого значения данному уравнению, считая его просто «полезным математическим инструментом для расчета матричных элементов, которые таким образом могли быть интерпретированы в рамках матричной квантовой теории». Разработав свою теорию преобразований, Дирак заключил, что уравнение КГ было абсолютно непоследовательным, поскольку оно не соответствовало основным свойствам квантовой механики.

В чем же заключался смысл уравнения Клейна — Гордона, и почему оно было неприемлемо для Дирака? Чтобы понять это, нам надо вернуться в начало 1926 года, когда Шрёдингер занимался волновой механикой. Как и Дирак, австрийский физик осознавал важность включения релятивистской теории в свою работу. На самом деле полученное им первое волновое квантовое уравнение учитывало релятивистские эффекты и не противоречило классическому релятивистскому выражению для энергии. Однако Шрёдингер решил не публиковать это уравнение, поскольку заметил, что оно не ведет к постоянной тонкой структуры.

Эта постоянная, полученная Зоммерфельдом в 1915 году с помощью атомной теории Бора, прекрасно выражала энергетические уровни атома водорода. Таким образом, она представляла собой главный «тест» для любой квантовой теории. В марте 1926 года Шрёдингер опубликовал свое новое уравнение — то самое, которое сегодня носит его имя. Оно не только учитывало постоянную Зоммерфельда, но и полностью изменило облик квантовой механики; со временем оно стало, наряду с принципом эквивалентности массы и энергии Эйнштейна, самым знаменитым физическим уравнением. Однако уравнение Шрёдингера не включает в себя теорию относительности — оно согласовывается с классическими формулировками механики Ньютона.

МАТЕМАТИЧЕСКАЯ ФОРМУЛИРОВКА УРАВНЕНИЯ КЛЕЙНА — ГОРДОНА

В релятивистской механике масса зависит от инерциальной системы отсчета. Обозначим собственную массу частицы, то есть массу частицы в ее собственной инерциальной системе отсчета, как m. Представим, что эта частица перемещается со скоростью . Для простоты допустим, что речь идет о свободной частице — не взаимодействующей с другими телами. В этой ситуации общая энергия и кинетический момент выражаются уравнениями

в которые вводится фактор Лоренца , описанный в главе 1. Соединяя выражения энергии и момента, получаем следующее уравнение:

Для частиц в состоянии покоя общая энергия равна Е=mc2, а для частиц без массы (таких, как фотон) энергия задана как Е=ср. Можно вывести волновое квантовое уравнение через предыдущее выражение энергии, заменив классические переменные соответствующими квантовыми операторами (принцип соответствия):

Используя данный принцип, получаем в итоге следующее релятивистское квантовое уравнение:

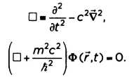
Это и есть уравнение Клейна — Гордона, которое обычно записывается в более точном виде с использованием оператора Д’Аламбера:

Предыдущее выражение называется «ковариантной формой» уравнения КГ. Оператор остается неизменным при преобразованиях Лоренца, и отсюда следует, что волновая функция ф(,t) не должна зависеть от инерциальной системы отсчета.

Как правило, автор новой теории не является самым подходящим человеком для ее развития. Страх того, что что-нибудь не сработает, слишком силен и мешает ему найти в себе достаточную смелость для того, чтобы развить теорию или идею до ее последнего предела.

Поль Дирак

Весной 1926 года Оскар Клейн, работавший независимо от Шрёдингера, опубликовал первое релятивистское квантовое уравнение. Оно согласовывалось с тем уравнением, которое раньше получил австрийский физик. В последующие месяцы разные ученые — Владимир Фок, Гордон, де Бройль и сам Шрёдингер — работали над этим уравнением, анализировали его и интерпретировали его решения. То, что Шрёдингер не решился опубликовать свое первое релятивистское уравнение, поскольку оно противоречило экспериментальным данным, Дирак прокомментировал так:

«Это был пример того, как ученые, которые встают на правильный путь, не решаются идти по нему, боясь ошибиться».

Согласно Дираку, тот факт, что уравнение не согласовывается с опытом, не должен был беспокоить Шрёдингера. Уравнение Клейна — Гордона является дифференциальным уравнением с пространственными и временными переменными. Его решение задано волновой функцией, которая содержит всю физическую информацию об анализируемой системе. В отличие от уравнения Шрёдингера уравнение КГ согласуется с релятивистским выражением для энергии. Кроме того, оно соответствует теории относительности: не меняется при использовании преобразований Лоренца. Другими словами, уравнение остается релевантным вне зависимости от рассматриваемой инерциальной системы отсчета. Уравнение КГ является дифференциальным уравнением второго порядка одновременно по пространственным переменным (как и уравнение Шрёдингера) и по временной переменной. Данный факт, напрямую связанный с релятивистским выражением энергии, стал причиной постоянных проблем интерпретации результатов уравнения, поэтому оно было забыто на многие годы.

  • Читать дальше
  • 1
  • ...
  • 13
  • 14
  • 15
  • 16
  • 17
  • 18
  • 19
  • 20
  • 21
  • 22
  • 23
  • ...

Ебукер (ebooker) – онлайн-библиотека на русском языке. Книги доступны онлайн, без утомительной регистрации. Огромный выбор и удобный дизайн, позволяющий читать без проблем. Добавляйте сайт в закладки! Все произведения загружаются пользователями: если считаете, что ваши авторские права нарушены – используйте форму обратной связи.

Полезные ссылки

  • Моя полка

Контакты

  • chitat.ebooker@gmail.com

Подпишитесь на рассылку: