Вход/Регистрация
Чистая архитектура. Искусство разработки программного обеспечения
вернуться

Мартин Роберт

Шрифт:

Почему операционная система UNIX превратила устройства ввода/вывода в плагины? Потому что в конце 1950-х годов мы поняли, что наши программы не должны зависеть от конкретных устройств. Почему? Потому что мы успели написать массу программ, зависящих от устройств, прежде чем смогли понять, что в действительности мы хотели бы, чтобы эти программы, выполняя свою работу, могли бы использовать разные устройства.

Например, раньше часто писались программы, читавшие исходные данные из пакета перфокарт [17] и пробивавшие на перфораторе новую стопку перфокарт с результатами. Позднее наши клиенты стали передавать исходные данные не на перфокартах, а на магнитных лентах. Это было неудобно, потому что приходилось переписывать большие фрагменты первоначальных программ. Было бы намного удобнее, если бы та же программа могла работать и с перфокартами, и с магнитной лентой.

17

Перфокарты IBM Hollerith имели ширину 80 колонок. Я уверен, что многие из вас никогда даже не видели их, но они широко были распространены в 1950-е, 1960-е и даже в 1970-е годы.

Для поддержки независимости от устройств ввода/вывода была придумана архитектура плагинов и реализована практически во всех операционных системах. Но даже после этого большинство программистов не давали распространения этой идее в своих программах, потому что использование указателей на функции было опасно.

Объектно-ориентированная парадигма позволила использовать архитектуру плагинов повсеместно.

Инверсия зависимости

Представьте, на что походило программное обеспечение до появления надежного и удобного механизма полиморфизма. В типичном дереве вызовов главная функция вызывала функции верхнего уровня, которые вызывали функции среднего уровня, в свою очередь, вызывавшие функции нижнего уровня. Однако в таком дереве вызовов зависимости исходного кода непреклонно следовали за потоком управления (рис. 5.1).

Рис. 5.1. Зависимости исходного кода следуют за потоком управления

Чтобы вызвать одну из функций верхнего уровня, функция main должна сослаться на модуль, содержащий эту функцию. В языке C для этой цели используется директива

#include
. В Java – инструкция
import
. В C# – инструкция
using
. В действительности любой вызывающий код был вынужден ссылаться на модуль, содержащий вызываемый код.

Эти требования предоставляли архитектору программного обеспечения несколько вариантов. Поток управления определяется поведением системы, а зависимости исходного кода определяются этим потоком управления.

Однако когда в игру включился полиморфизм, стало возможным нечто совершенно иное (рис. 5.2).

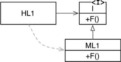
Рис. 5.2. Инверсия зависимости

На рис. 5.2 модуль верхнего уровня

HL1
вызывает функцию
F
из модуля среднего уровня
ML1
. Вызов посредством интерфейса является уловкой лишь для исходного кода. Во время выполнения интерфейсов не существует. Модуль HL1 просто вызывает
F
внутри
ML1
[18] .

18

Хотя и косвенно.

Но обратите внимание, что направление зависимости в исходном коде (отношение наследования) между

ML1
и интерфейсом
I
поменялось на противоположное по отношению к потоку управления. Этот эффект называют инверсией зависимости (dependency inversion), и он имеет далеко идущие последствия для архитекторов программного обеспечения.

Факт поддержки языками ОО надежного и удобного механизма полиморфизма означает, что любую зависимость исходного кода, где бы она ни находилась, можно инвертировать.

Теперь вернемся к дереву вызовов, изображенному на рис. 5.1, и к множеству зависимостей в его исходном коде. Любую из зависимостей в этом исходном коде можно обратить, добавив интерфейс.

При таком подходе архитекторы, работающие в системах, которые написаны на объектно-ориентированных языках, получают абсолютный контроль над направлением всех зависимостей в исходном коде. Они не ограничены только направлением потока управления. Неважно, какой модуль вызывает и какой модуль вызывается, архитектор может определить зависимость в исходном коде в любом направлении.

Какая возможность! И эту возможность открывает ОО. Собственно, это все, что дает ОО, – по крайней мере с точки зрения архитектора.

Что можно сделать, обладая этой возможностью? Можно, например, переупорядочить зависимости в исходном коде так, что база данных и пользовательский интерфейс (ПИ) в вашей системе будут зависеть от бизнес-правил (рис. 5.3), а не наоборот.

Рис. 5.3. База данных и пользовательский интерфейс зависят от бизнес-правил

Это означает, что ПИ и база данных могут быть плагинами к бизнес-правилам. То есть в исходном коде с реализацией бизнес-правил могут отсутствовать любые ссылки на ПИ или базу данных.

Как следствие, бизнес-правила, ПИ и базу данных можно скомпилировать в три разных компонента или единицы развертывания (например, jar-файлы, библиотеки DLL или файлы Gem), имеющих те же зависимости, как в исходном коде. Компонент с бизнес-правилами не будет зависеть от компонентов, реализующих ПИ и базу данных.

  • Читать дальше
  • 1
  • ...
  • 11
  • 12
  • 13
  • 14
  • 15
  • 16
  • 17
  • 18
  • 19
  • 20
  • 21
  • ...

Ебукер (ebooker) – онлайн-библиотека на русском языке. Книги доступны онлайн, без утомительной регистрации. Огромный выбор и удобный дизайн, позволяющий читать без проблем. Добавляйте сайт в закладки! Все произведения загружаются пользователями: если считаете, что ваши авторские права нарушены – используйте форму обратной связи.

Полезные ссылки

  • Моя полка

Контакты

  • chitat.ebooker@gmail.com

Подпишитесь на рассылку: