Вход/Регистрация
Юный техник, 2005 № 12
вернуться

Журнал Юный техник

Шрифт:

9. Найдите все целые числа, каждое из которых является первым членом арифметической прогрессии с разностью, равной 7, и суммой первых нескольких членов, равной 2744.

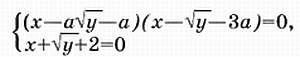
10. Найти все значения параметра а. при которых система

имеет единственное решение.

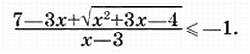
11. Решите неравенство

12. Биссектриса ВКи высота CDостроугольного треугольника А ВСпересекаются в точке О. Окружность радиуса Rс центром в точке Опроходит через вершину В, середину стороны ВСи пересекает сторону АВв точке Мтакой, что АМ: МВ = 2:1. Найдите длину стороны АС.

13. Решите уравнение

ФИЗИКА

1.(Экспериментальное задание.) Определите скорость, с которой вода вытекает из носика водопроводного крана. Вы можете использовать линейку, часы или секундомер, емкость для воды.

2. Пункты Аи Внаходятся выше и ниже по течению реки. Катер выплывает из Аи, дойдя до пункта В, сразу разворачивается и возвращается в пункт А. Скорость течения реки равна V. Определите среднюю скорость катера за все время движения. Известно, что на путь из Ав Вкатер затратил в 2 раза меньше времени, чем на обратный путь. Скорость катера относительно воды не изменяется.

3. Школьник изучает движение брусков разной массы по горизонтальной шероховатой поверхности стола.

В первом опыте за легкую нить с постоянной скоростью тянут деревянный брусок массой m. При этом сила натяжения нити составляет 2H. Во втором опыте на ту же поверхность устанавливают второй брусок массой 2m, изготовленный из того же материала, что и первый. Концы второй нити закрепляют на брусках. Всю систему тянут с постоянной скоростью по столу за нить, привязанную к бруску меньшей массы (см. рис. 1). Определите силы натяжения обеих нитей.

4. В цилиндрическое ведро с вертикальными стенками и площадью дна S= 500 см 2налита нефть, занимающая объем V= 6,5 л. Найдите давление нефти на стенку ведра на высоте h= 3 см от дна. Какую массу воды долили в ведро, если давление в том же месте увеличилось на 20 %? Плотность воды р в=1000 кг/м 3, плотность нефти р н=800 кг/м 3. Атмосферное давление не учитывать.

5. Гидравлический пресс, заполненный водой, имеет цилиндры с поршнями, площади поперечного сечения которых равны 1000 см 2и 500 см 2. В начальный момент поршни находятся на одном горизонтальном уровне. На поршень большей площади становится человек. При этом поршень опускается на Н= 0,3 м. Какова масса человека? Массами поршней пренебречь.

6. Какую массу имеет деревянный кубик с ребром Н, если при переносе его из масла в воду глубина погружения уменьшилась на l? Кубик плавает в каждой жидкости таким образом, что его грань параллельна поверхности жидкости. Плотности воды и масла равны р ви р м ( р в> p м).

7. Динамометр показывает, что шарик, подвешенный к нему на легкой нити, весит в воздухе Р 1= 1,62Н. Когда шарик наполовину погрузили в воду, то динамометр стал показывать вес Р 2=1,12Н. Какова плотность материала шарика?

8. В электрическом чайнике мощностью Р= 1 кВт можно нагреть до t= 100 °C полтора литра воды, имеющей начальную температуру t 0= 20 °C, за = 15 минут.

Определите коэффициент полезного действия (КПД) чайника. Под КПД чайника следует понимать отношение полезного количества теплоты, т. е. теплоты, пошедшей на нагревание воды, к количеству потребленной электроэнергии.

9. Кусок льда массой m л = 700 г поместили в калориметр с водой. Масса воды m в = 2,5 кг, начальная температура воды t в= 5 °C. Когда установилось тепловое равновесие, оказалось, что масса льда увеличилась на m= 64 г.

Определите начальную температуру льда. Потерями тепла и теплоемкостью калориметра пренебречь.

10. Найдите температуру вольфрамовой нити лампочки, если при включении в сеть с напряжением V= 220 В по нити идет ток I= 0,68 А. При температуре t 1= 20 °C сопротивление нити R 1= 36 Ом. Зависимость сопротивления металлического проводника от температуры определяется выражением R = R 0(1 + t), где t— температура проводника (в градусах Цельсия), — температурный коэффициент сопротивления, R 0— сопротивление проводника при температуре t 0 = 0 °C. Температурный коэффициент сопротивления вольфрама = 4,6•10 – 3град – 1.

  • Читать дальше
  • 1
  • ...
  • 16
  • 17
  • 18
  • 19
  • 20
  • 21
  • 22
  • 23
  • 24
  • 25

Ебукер (ebooker) – онлайн-библиотека на русском языке. Книги доступны онлайн, без утомительной регистрации. Огромный выбор и удобный дизайн, позволяющий читать без проблем. Добавляйте сайт в закладки! Все произведения загружаются пользователями: если считаете, что ваши авторские права нарушены – используйте форму обратной связи.

Полезные ссылки

  • Моя полка

Контакты

  • chitat.ebooker@gmail.com

Подпишитесь на рассылку: