Вход/Регистрация
Фейнмановские лекции по физике. 2. Пространство. Время. Движение
вернуться

Фейнман Ричард Филлипс

Шрифт:

Напоследок я задам вопрос, ответить на который предо­ставляю вам самим. Если бы внезапно появилась возможность знать, что происходит в области 1 пространства-времени,— возник бы от этого парадокс или нет?

§ 4. Еще о четырехвекторах

Вернемся опять к аналогии между преобразованием Ло­ренца и вращением пространственных осей. Мы уже убедились, что полезно собирать воедино отличные от координат величины, которые преобразуются так же, как и координаты; эти соеди­ненные величины называют векторами, или направленными отрезками. При обычных вращениях немало величин преобра­зуется в точности так же, как х, y, z (например, скорость с тремя компонентами х, у, z); при переходе из одной системы координат в другую ни одна из компонент не остается прежней, все они приобретают новые значения. Но «сама» скорость, во всяком случае, более реальна, чем любая из ее компонент, и изображаем мы ее направленным отрезком.

Теперь мы спросим: существуют ли величины, которые пре­образуются при переходе от неподвижной системы к движу­щейся так же, как и х, у, z, t? Наш опыт обращения с векторами подсказывает, что три из этих величин, подобно х, у, z, могли бы представлять собой три компоненты обычного простран­ственного вектора, а четвертая могла бы оказаться похожей на обычный скаляр относительно пространственных вращений: она бы не изменялась, пока мы не перейдем в движущуюся систему координат. Возможно ли, однако, связать с одним из известных «тривекторов» некоторый четвертый объект (ко­торый можно назвать «временной компонентой») таким образом, чтобы вся четверка «вращалась» точно так же, как изменяются пространство и время в пространстве-времени? Мы сейчас покажем, что действительно существует по крайней мере одна такая четверка (на самом деле далеко не одна): три ком­поненты импульса и энергия в качестве временной компоненты преобразуются вместе и образуют так называемый «четырехвектор». Доказывая это, мы избавимся от с тем же приемом, какой употреблялся в уравнении (17.4). Например, энергия и масса отличаются только множителем с2и при надлежащем выборе единиц измерения энергия совпадет с массой. Вместо того чтобы писать Е=тс2, мы положим Е=т. Если понадо­бится, в окончательных уравнениях можно опять расставить с в нужных степенях.

Итак, уравнения для энергии и импульса имеют вид

Значит, при таком выборе единиц получится

Скажем, если энергия выражена в электронвольтах (эв), то чему равна масса в 1 эв? Она равна массе с энергией покоя 1 эв, т. е. m0c2=1 эв. У электрона, например, масса покоя равна 0,511·106 эв.

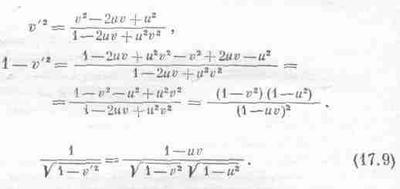
Как же будут выглядеть импульс и энергия в новой системе координат? Чтобы узнать это, надо преобразовать уравнения (17.6). Это преобразование легко получить, зная, как пре­образуется скорость. Пусть некоторое тело имело скорость v, а мы наблюдаем за ним из космического корабля, который сам имеет скорость u, и обозначаем соответствующие величины штрихами. Для простоты сперва мы рассмотрим случай, когда скорость v направлена по скорости и. (Более общий случай мы рассмотрим позже.) Чему равна скорость тела v' по измерениям из космического корабля? Эта скорость равна «раз­ности» между v и u. По прежде полученному нами закону

v’=(v-u)/(1-uv’) (17-8)

Теперь подсчитаем, какой окажется энергия Е' по измерениям космонавта. Он, конечно, воспользуется той же массой покоя, но зато скорость станет v'. Он возведет v' в квадрат, вычтет из единицы, извлечет квадратный корень и найдет обратную величину

Энергия Е' просто равна массе m0, умноженной на это выражение. Но нам хочется выразить энергию через нештри­хованные энергию и импульс. Мы замечаем, что

или

Мы узнаем в этом выражении знакомое нам преобразование

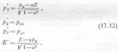
Теперь мы должны найти новый импульс рх. Он равен энергии Е', умноженной на v', и так же просто выражается через Е и р:

и мы опять распознаем в этой формуле знакомое нам

Итак, преобразование старых энергии и импульса в новые энергию и импульс в точности совпало с преобразованием t и х в t' и х и t в х': если мы в уравнениях (17.4) будем писать Е каждый раз, когда увидим t, а вместо x: всякий раз будем под­ставлять рх, то уравнения (17.4) превратятся в уравнения (17.10) и (17.11). Если все верно, то это правило предполагает добавочные равенства р'у=-рyи р'z=рz. Чтобы их доказать, надо посмотреть, как преобразуется движение вверх или вниз. Но как раз в предыдущей главе мы рассмотрели такое движение. Мы анализировали сложное столкновение и заметили, что по­перечный импульс действительно не меняется при переходе в движущуюся систему координат. Стало быть, мы уже убе­дились, что р'у=руи pz=pz. Итак, полное преобразование равно

Таким образом, эти преобразования выявили четыре ве­личины, которые преобразуются подобно х, у, z, t. Назовем их четырехвектор импульса. Так как импульс — это четырехвектор, его можно изобразить на диаграмме пространства-времени движущейся частицы в виде «стрелки», касательной к пути (фиг. 17.4).

Фиг. 17.4. Четырехвектор импульса частицы.

  • Читать дальше
  • 1
  • ...
  • 10
  • 11
  • 12
  • 13
  • 14
  • 15
  • 16
  • 17
  • 18
  • 19
  • 20
  • ...

Ебукер (ebooker) – онлайн-библиотека на русском языке. Книги доступны онлайн, без утомительной регистрации. Огромный выбор и удобный дизайн, позволяющий читать без проблем. Добавляйте сайт в закладки! Все произведения загружаются пользователями: если считаете, что ваши авторские права нарушены – используйте форму обратной связи.

Полезные ссылки

  • Моя полка

Контакты

  • chitat.ebooker@gmail.com

Подпишитесь на рассылку: