Вход/Регистрация
Стимулирование продаж
вернуться

Климин Анастасий Игоревич

Шрифт:

Глава 3

Оценка эффекта и эффективности мероприятий по стимулированию

3.1. Что можно рассматривать в качестве эффекта от проведения мероприятий по стимулированию?

Определим понятия «эффект» и «эффективность». Эффект – результат, полученный от проведения кампании или мероприятия по стимулированию с учетом применения определенных бонусов и средств коммуникации. Эффективность – соотношение результата и затрат, вызвавших данный результат.

Итоговым, конечным показателем экономического эффекта от стимулирования является дополнительная прибыль при проведении мероприятий, по сравнению с прогнозируемой прибылью без стимулирования за этот же период:

где W1– фактический объем продаж при стимулировании, руб.; Q1– фактический объем продаж при стимулировании, шт.; P1– цена за единицу товара при стимулировании, руб.; W – прогноз объема продаж без стимулирования, руб.; Q– прогноз объема продаж без стимулирования, шт.; P– цена за единицу товара без стимулирования, руб.; W– прирост объема продаж от стимулирования, руб.; F1– фактическая прибыль при стимулировании, руб.; F – прогноз прибыли без стимулирования, руб.; Z – суммарные затраты, относимые к приросту объема продаж от стимулирования, руб.; Z1 – фактические суммарные затраты при стимулировании (себестоимость), руб.; Z – прогноз суммарных затрат без стимулирования (себестоимость), руб.; F – дополнительный объем прибыли от стимулирования, руб.; PC – производственно-коммерческие затраты на стимулирование, руб.; COM – коммуникационные затраты на стимулирование, руб.

Графически типы кривых по увеличению объемов продаж при стимулировании показаны в следующем разделе.

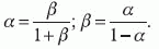
В экономическом анализе используются два основных показателя эффективности: рентабельность затрат и рентабельность продаж. Рентабельность затрат – это отношение прибыли к затратам (себестоимости), обычно выражается «в рублях прибыли на рубль затрат», может выражаться в процентах. Рентабельность продаж, или норма прибыли – это отношение прибыли к объему продаж в рублях (выручке). Выражается в процентах и показывает долю прибыли в выручке. Выразим оба показателя через обозначения, причем рентабельность затрат представим не в процентах, а в виде коэффициента от 0 до 1:

= П / З;

= П / В;

П = В – З,

где – рентабельность издержек, рублей на рубль; П – прибыль, руб.; 3 – затраты, руб.; – рентабельность продаж, коэффициент от 0 до 1 долл. прибыли в выручке; В – выручка, руб.

Путем несложных вычислений можно выразить один показатель через другой:

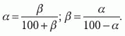
Если выражать показатели  и в процентах, формула будет выглядеть следующим образом:

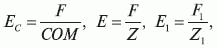
Экономическая эффективность всегда связана с типом оцениваемых затрат. Показатели экономической эффективности кампании по стимулированию в целом – это эффективность совокупных коммуникационных затрат, а также суммарных производственно-коммерческих и коммуникационных затрат:

где EC – эффективность коммуникационных затрат на стимулирование, рублей на рубль; E – эффективность суммарных затрат по прибыли от стимулирования, рублей на рубль; E1– эффективность суммарных затрат по прибыли при проведении мероприятия в целом, рублей на рубль.

Рентабельность коммуникационных затрат показывает, сколько рублей дополнительной прибыли пришлось на рубль коммуникационных затрат, связанных со стимулированием. Показатели эффективности по полным затратам E и E1являются показателями рентабельности затрат на производство и реализацию продукции.

Перечислим основные проблемы при определении эффекта и эффективности стимулирования.

1. Как определить (спрогнозировать) объем продаж и прибыль, если бы мероприятия по стимулированию не проводились?

2. Как спрогнозировать объем продаж и прибыль при проведении мероприятий на этапе планирования?

3. Какие затраты относить к дополнительным, связанным со стимулированием?

4. Каковы нормативы эффективности использования дополнительных затрат, связанных со стимулированием?

  • Читать дальше
  • 1
  • ...
  • 19
  • 20
  • 21
  • 22
  • 23
  • 24
  • 25
  • 26
  • 27
  • 28
  • 29
  • ...

Ебукер (ebooker) – онлайн-библиотека на русском языке. Книги доступны онлайн, без утомительной регистрации. Огромный выбор и удобный дизайн, позволяющий читать без проблем. Добавляйте сайт в закладки! Все произведения загружаются пользователями: если считаете, что ваши авторские права нарушены – используйте форму обратной связи.

Полезные ссылки

  • Моя полка

Контакты

  • chitat.ebooker@gmail.com

Подпишитесь на рассылку: