Вход/Регистрация
Математика от А до Я: Справочное пособие (издание третье с дополнениями)
вернуться

Романов Алексей Михайлович

Шрифт:

Запишем распределение по высоте выброса массы загрязняющего вещества в нем в виде

где М,Мi — масса газа в выбросе и i-ой примеси в нем; — доля объема нижней части выброса к общему объему; — доля не детонировавшего топлива.

Для сформировавшегося взрывного выброса (при t > 300 с) типичные данные испытательных подрывов массы ТРТ эквивалентной 30 т ВВ дают следующие осредненные значения геометрических характеристик (радиусов по оси х — R0x и по оси у — R0u):

Выражение для наземной концентрации выброса в секторе распространения его вещества запишется в виде суммы слагаемых, ответственных за верхнюю и нижнюю части:

C = CB+ CH , (3.115)

Рис. 3.29. Схема представления сложного источника загрязнений в случае взрыва: 1 — модельный высотный источник; 2 — модель «ножки» выброса; 3 — расчетный сектор распространения примеси.

где

Вводя замену переменных

, получаем для интегралов Iн и /B следующие выражения

где

 интеграл вероятности, значения которого затубулированы.

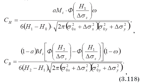
Формулы (3.116) и (3.117) при учете значений Iн и Iв принимают следующий окончательный вид:

Расчет концентраций загрязняющих веществ на уровне земли от верхней и нижней частей взрывного клуба при ликвидации ТТР массой около 30 тонн ВВ представлены на графиках Рис. 3.30 и 3.31.

В качестве загрязнителей рассматривался хлористый водород, концентрация которого в твердом топливе принималась равной 16 %. Предполагалось, что все топливо участвует в химических реакциях горения, то есть нет дробления и разноса твердой фазы.

Стандартные отклонения распределений примесей в клубе в направлениях координаты осей аппроксимировались степенными зависимостями [50]:

где n — экспериментальный коэффициент, значения для которого можно взять, например, из работы [163]. В этой работе рассматривались закономерности рассеивания примеси в поперечном и продольном относительно ветра направлениях. В случае наименее мелких частиц со скоростями оседания W< 1 м/с в зависимости от состояния атмосферы получены значения для n в диапазоне 2–5, причем чем легче примесь, тем больше отличие продольной дисперсии от поперечной.

Значения коэффициентов степенных зависимостей приращений дисперсий можно использовать, например, из работы [50], в которой для расстояний Х< 10 км от источника загрязнений рекомендованы следующие интерполяции.

Для нейтральной атмосферы (класс D):

К1 = 0,15; К2 = 0,06; = 0,7; = 0,92; для неустойчивой атмосферы (класс В):

К1 = 0,53; К2= 0,14; =0,73; = 0,92; для очень устойчивой атмосферы (класс G):

К1 = 0,05; К2= 0,02; = 0,61; = 0,92.

Рис. 3.30. Распределение концентраций хлористого водорода в секторе распространение примесей при подрыве 30 т РТР для разных состояний атмосферы.

Для сравнительной оценки максимальных значений концентраций загрязняющих примесей на уровне земли при расчетах эти данные экстраполировались на расстояния, большие 10 км.

Рис. 3.31. Распределение концентрации загрязняющих веществ в секторе распространения примеси при подрыве ракет РСД-10 при неустойчивом состоянии атмосферы (класса «В»): 1 — наземная концентрация от нижней части выброса; 2 — наземная концентрация от верхней части выброса; 3 — суммарное значение наземной концентрации. Начальная масса загрязнений 18 т.

Из графиков Рис. 3.30 следует, что для очень устойчивой атмосферы для одинаковых удалений от источника загрязнения, усредненные в поперечном направлении значения приземных концентраций загрязняющих веществ значительно выше, чем для менее стабильных атмосферных условий. Значения параметра С для классов В и D при X < 10 км отличаются слабо, при X >10 км значения С неустойчивой атмосферы уменьшаются медленнее, чем для нейтральной. Из графиков Рис. 3.31 видно, что наибольший вклад в значения концентраций на уровне земли вносит «ножка» выброса, высотный клуб на удалениях от места взрыва, меньших 8 км дает пренебрежимо малый вклад в суммарное значение С. Наибольший его вклад в суммарную концентрацию происходит в диапазоне значений X > 15 км.

  • Читать дальше
  • 1
  • ...
  • 56
  • 57
  • 58
  • 59
  • 60
  • 61
  • 62
  • 63
  • 64
  • 65
  • 66
  • ...

Ебукер (ebooker) – онлайн-библиотека на русском языке. Книги доступны онлайн, без утомительной регистрации. Огромный выбор и удобный дизайн, позволяющий читать без проблем. Добавляйте сайт в закладки! Все произведения загружаются пользователями: если считаете, что ваши авторские права нарушены – используйте форму обратной связи.

Полезные ссылки

  • Моя полка

Контакты

  • chitat.ebooker@gmail.com

Подпишитесь на рассылку: