Вход/Регистрация
Математика от А до Я: Справочное пособие (издание третье с дополнениями)
вернуться

Романов Алексей Михайлович

Шрифт:

В случае изотермии (у=0)всплытие вещества выброса не превосходит километра для диапазона g = 1 : 20 град. В случае нейтральной атмосферы Zm резко увеличивается, достигая 4 и более километров. Причем, чем меньше среднеквадратичные значения пульсаций температуры атмосферного воздуха, там выше всплытие вещества разрушившегося выброса.

Для умереннонеустойчивой (класс В) атмосферы вещество разрушившегося выброса может быть остановлено стратифицированной атмосферой только при уровне флуктуаций температуры воздуха m, превышающих 1 градус, что весьма маловероятно. При сильно неустойчивой атмосфере (класс А) расчеты по формуле (3.99) становятся не корректными для любых реальных значений параметров атмосферного воздуха. Физически это означает безграничный подъем вещества разрушившегося клуба.

Стабилизация вещества затихающей струи

Рассмотрим теперь закономерности подъема вещества струи после потери ею динамической индивидуальности на фоне турбулентных движений атмосферного воздуха. Такая ситуация гипотетически допускается для сильно устойчивой атмосферы.

Как и в случае с подъемом выброса будем исходить из уравнения сохранения потока внутренней энергии в поперечном сечении струи. Для сечений, отстоящих на малом расстоянии l = l2 — l1 друг от друга справедливо равенство

где М — расход вещества струи; — полная энергия единицы массы газа; h — статическая энтальпия единицы массы газа струи.

Индексы «2», «1» и «» относятся к сечениям «2», «1» струи и к характеристикам вовлекаемого в струю воздуха.

Деля обе части (3.100) на l и устремляя l к нулю, приходим к дифференциальному уравнению:

Раскрывая дифференциал в левой части этого соотношения и используя уравнение для вовлечения

приходим к уравнению относительно дефекта температуры струи — Т -Т в следующей форме:

Это уравнение получено при следующем физически обоснованном допушении. На завершающем участке движения струи теплоемкость ее вещества практически не отличается от теплоемкости атмосферного воздуха, а кинетической энергией контрольного газового объема допустимо пренебречь по сравнению с потенциальной и внутренней энергиями.

Для струйного потока

где V — скорость газа струи;

S — площадь поперечного сечения струи;

 — коэффициент вовлечения.

Тогда для изобарического струйного потока:

и уравнение (3.101) принимает окончательный вид:

R, — параметры, определяющие радиус струи и угол наклона рассматриваемого поперечного сечения.

При координате разрушения струйного течения Z = Zg параметры R и имеют значения Rg и g.

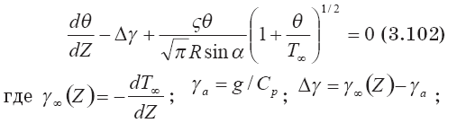
При этом уравнение для определения дефекта температуры вещества струи при ее всплытии после потери динамической индивидуальности приобретает следующий вид:

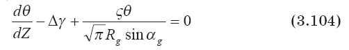
Это уравнение может быть решено численно. Для получения аналитическского приближенного решения, воспользуемся условием малости и условием изобаричности течения. Тогда уравнение (3.103) запишется так:

Введем безразмерные параметры:

Тогда

Уравнение (3.104) в безразмерном виде выглядит так:

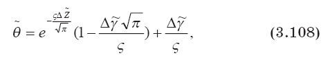
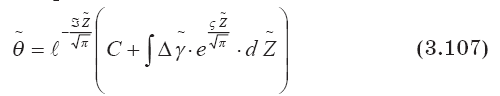
Его решение

Постоянная С определяется из начального условия: при Z = 1 = 1

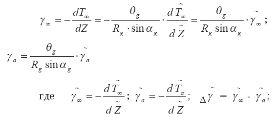
Высота стабилизации вещества струи в турбулентной атмосфере Zm может быть найдена из уравнения (3.107) при подстановке в него вместо значения

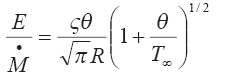
При постоянном распределении температуры с высотой = const получаем:

На уровне стабилизации вещества струи уравнение (3.108) приобретает следующий вид:

где Zm = Zm– 1 — безразмерное значение приращения высотной координаты подъема вещества струи.

Из соотношения (3.109) можно найти Zm:

<
  • Читать дальше
  • 1
  • ...
  • 51
  • 52
  • 53
  • 54
  • 55
  • 56
  • 57
  • 58
  • 59
  • 60
  • 61
  • ...

Ебукер (ebooker) – онлайн-библиотека на русском языке. Книги доступны онлайн, без утомительной регистрации. Огромный выбор и удобный дизайн, позволяющий читать без проблем. Добавляйте сайт в закладки! Все произведения загружаются пользователями: если считаете, что ваши авторские права нарушены – используйте форму обратной связи.

Полезные ссылки

  • Моя полка

Контакты

  • chitat.ebooker@gmail.com

Подпишитесь на рассылку: