Вход/Регистрация
Фейнмановские лекции по физике. 6. Электродинамика
вернуться

Фейнман Ричард Филлипс

Шрифт:

(18.14)

и

(18.15)

Если взять любое произвольное определение единицы заряда, можно экспериментально определить постоянную e0, входящую в уравнение (18.14), скажем, измеряя силу между двумя не­подвижными единичными зарядами по закону Кулона. Мы должны также определить экспериментально постоянную e0с2, которая появляется в уравнении (18.15), что можно сделать, скажем, измерив силу между двумя единичными токами. (Еди­ничный ток означает единичный заряд в секунду.) Отношение этих двух экспериментальных постоянных есть с2 — как раз другая «электромагнитная постоянная».

Заметим теперь, что постоянная с2 получается одна и та же независимо от того, какова выбранная наша единица заряда. Если мы выберем «заряд» в два раза больше (скажем, удвоен­ный заряд протона), то в нашей «единице» заряда e0 должна уменьшиться в четыре раза. Когда мы пропускаем два таких «единичных» тока по двум проводам, в каждом проводе будет в два раза больше «зарядов» в секунду, так что силы между двумя проводами будут в четыре раза больше. Постоянная e0с2 должна уменьшиться в четыре раза. Но отношение e0с2/e0 не меняется.

Следовательно, непосредственно из экспериментов с заряда­ми и токами мы находим число с2, которое оказывается равным квадрату скорости распространения электромагнитных воз­буждений. Из статических измерений (измеряя силы между двумя единичными зарядами и между двумя единичными токами) мы находим, что с=3,00·108 м/сек. Когда Максвелл впервые проделал это вычисление со своими уравнениями, он сказал, что совокупность электрического и магнитного полей будет распространяться с этой скоростью. Он отметил также таин­ственное совпадение — эта скорость была равна скорости света. «Мы едва ли можем избежать заключения,— сказал Максвелл,— что свет — это поперечное волнообразное движение той же самой среды, которая вызывает электрические и магнит­ные явления».

Так Максвелл совершил одно из великих обобщений физики! До него был свет, было электричество и был магнетизм. Причем два последних явления были объединены экспериментальными работами Фарадея, Эрстеда и Ампера. Потом внезапно свет не стал уже больше «чем-то еще», а был электричеством и магнетизмом в новой форме, небольшими кусками электри­ческого и магнитного полей, которые распространяются в про­странстве самостоятельно.

Мы обращали ваше внимание на некоторые черты этого осо­бого решения, которые, однако, справедливы для любой элек­тромагнитной волны: магнитное поле перпендикулярно направ­лению движения фронта волны; электрическое поле также перпендикулярно направлению движения фронта волны; и два вектора Е и В перпендикулярны друг другу. Далее, величина электрического поля Е равна произведению с на величину маг­нитного поля В. Эти три факта — что оба поля поперечны на­правлению распространения, что В перпендикулярно Е и что Е=сВ — верны вообще для любой электромагнитной волны. Наш частный случай — хороший пример, он показывает все основные свойства электромагнитных волн.

§ 6. Решение уравнений Максвелла; потенциалы и волновое уравнение

Теперь стоило бы заняться немного математикой; мы запи­шем уравнения Максвелла в более простой форме. Вы, пожалуй, сочтете, что мы усложняем их, но если вы наберетесь терпения, то внезапно обнаружите их большую простоту. Хотя вы уже вполне привыкли к каждому из уравнений Максвелла, имеется все же много частей, которые стоит соединить воедино. Вот как раз этим мы и займемся.

Начнем с С·В=0 — простейшего из уравнений. Мы знаем, что оно подразумевает, что В — есть ротор чего-то. Поэтому, если вы записали

B = СXA, (18.16)

то считайте, что уже решили одно из уравнений Максвелла. (Между прочим, заметьте, что оно остается верно для другого вектора А', если A'=A+Сty, где y— любое скалярное поле, потому что ротор Сy — нуль и В — по-прежнему то же самое. Мы говорили об этом раньше.)

Теперь разберем закон Фарадея СXE= -dB/dt, потому что он не содержит никаких токов или зарядов. Если мы за­пишем В как СXA и продифференцируем по t, то сможем пере­писать закон Фарадея в форме

СXE = - d/dtСXA.

Поскольку мы можем дифференцировать сначала либо по вре­мени, либо по координатам, то можно написать это уравнение также в виде

(18.17)

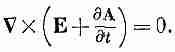
Мы видим, что Е+дА/дt — это вектор, ротор которого равен нулю. Поэтому такой вектор есть градиент чего-то. Когда мы занимались электростатикой, у нас было СXE=0, и мы тогда решили, что Е — само градиент чего-то. Пусть это градиент от -j (минус для технических удобств). То же самое сделаем и для E+дA/дt; мы полагаем

(18.18)

Мы используем то же обозначение j, так что в электростатиче­ском случае, когда ничто не меняется со временем и dA/dt исчезает, Е будет нашим старым -Сj. Итак, закон Фарадея можно представить в форме

(18.19)

Мы уже решили два из уравнений Максвелла и нашли, что для описания электромагнитных полей Е и В нужны четыре потенциальные функции: скалярный потенциал j и векторный потенциал А, который, разумеется, представляет три функции.

  • Читать дальше
  • 1
  • ...
  • 25
  • 26
  • 27
  • 28
  • 29
  • 30
  • 31
  • 32
  • 33
  • 34
  • 35
  • ...

Ебукер (ebooker) – онлайн-библиотека на русском языке. Книги доступны онлайн, без утомительной регистрации. Огромный выбор и удобный дизайн, позволяющий читать без проблем. Добавляйте сайт в закладки! Все произведения загружаются пользователями: если считаете, что ваши авторские права нарушены – используйте форму обратной связи.

Полезные ссылки

  • Моя полка

Контакты

  • chitat.ebooker@gmail.com

Подпишитесь на рассылку: