Вход/Регистрация
Фейнмановские лекции по физике. 6. Электродинамика
вернуться

Фейнман Ричард Филлипс

Шрифт:

Как же я могу переделать член dh/dt, чтобы в нем появилось h? Я могу добиться этого, интегрируя по частям. Оказывается, что в вариационном исчислении весь фокус в том и состоит, чтобы расписать вариацию S и затем проинтегрировать по час­тям так, чтобы производные от h исчезли. Во всех задачах, в которых появляются производные, проделывается такой же фокус.

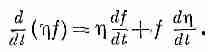
Припомните общий принцип интегрирования по частям. Если у вас есть произвольная функция f, умноженная на dh/dt и проинтегрированная по t, то вы расписываете производную от hf:

В интересующем вас интеграле стоит как раз последнее слага­емое, так что

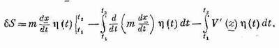
В нашей формуле для dS за функцию f принимается произ­ведение т на dx/dt; поэтому я получаю для dS выражение

В первый член должны быть подставлены пределы интегриро­вания t1и t2. Тогда я получу под интегралом член от интегри­рования по частям и последний член, оставшийся при преоб­разовании неизменным.

А теперь происходит то, что бывает всегда,— проинтегри­рованная часть исчезает. (А если не исчезает, то нужно переформулировать принцип, добавив условия, обеспечивающие такое исчезновение!) Мы уже говорили, что hна концах пути должна быть равна нулю. Ведь в чем состоит наш принцип? В том, что действие минимально при условии, что варьируемая кривая начинается и кончается в избранных точках. Это зна­чит, что h(t1)=0 и h(t2)=0. Поэтому проинтегрированный член получается равным нулю. Мы собираем воедино остальные члены и пишем

Вариация S теперь приобрела такой вид, какой мы хотели ей придать: что-то стоит в скобках (обозначим его F), и все это умножено на h(t)и проинтегрировано от t1до t2.

У нас вышло, что интеграл от какого-то выражения, умно­женного на h(t), всегда равен нулю:

Стоит какая-то функция от t; умножаю ее на h(t) и интегрирую ее от начала до конца. И какова бы ни была h, я получаю нуль. Это означает, что функция F(t)равна нулю. В общем-то это очевидно, но я на всякий случай покажу вам один из способов доказательства.

Пусть в качестве h (t) я выберу нечто, что равно нулю всюду, при всех t, кроме одного, заранее выбранного значения t. Оно

остается нулем, пока я не

дойду до этого t,

затем оно подскакивает на мгновение и сразу же оса­живает назад. Если вы берете интеграл от этой h, умно­женной на какую-то функ­цию F, то единственное место, в котором вы получите что-то ненулевое,— это там, где h (t) подскакивало; и у вас получится значение F в этом месте на интеграл по скачку. Сам по себе интеграл по скачку не равен нулю, но после умножения на F он должен дать нуль. Значит, функция в том месте, где был скачок, должна оказаться нулем. Но ведь скачок можно было сделать в любом месте; значит, F должна быть нулем всюду.

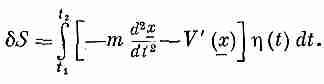
Мы видим, что если наш интеграл равен нулю при какой угодно h, то коэффициент при hдолжен обратиться в нуль. Интеграл действия достигает минимума на том пути, который будет удовлетворять такому сложному дифференциальному уравнению:

На самом деле оно не так уж сложно; вы его уже встречали прежде. Это просто F=ma. Первый член — это масса, умно­женная на ускорение; второй — это производная от потен­циальной энергии, т. е. сила.

Итак, мы показали (по крайней мере для консервативной системы), что принцип наименьшего действия приводит к пра­вильному ответу; он утверждает, что путь, "обладающий мини­мумом действия,— это путь, удовлетворяющий закону Ньютона.

Нужно сделать еще одно замечание. Я не доказал, что это минимум. Может быть, это максимум. На самом деле это и не обязательно должен быть минимум. Здесь все так же, как в «принципе кратчайшего времени», который мы обсуждали, изучая оптику. Там тоже мы сперва говорили о «кратчайшем» времени. Однако выяснилось, что бывают положения, в кото­рых это время не обязательно «кратчайшее». Фундаментальный принцип заключается в том, чтобы для любых отклонений пер­вого порядка от оптического пути изменения во времени были бы равны нулю; здесь та же самая история. Под «минимумом» мы на самом деде подразумеваем, что в первом порядке малости изменения величины S при отклонениях от пути должны быть равны нулю. И это не обязательно «минимум».

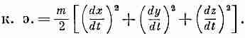
Теперь я хочу перейти к некоторым обобщениям. В первую очередь всю эту историю можно было бы проделать и в трех измерениях. Вместо простого x я тогда имел бы x, у и z как функции t, и действие выглядело бы посложнее. При трехмер­ном движении вы должны использовать полную кинетическую энергию: (m/2), умноженное на квадрат всей скорости. Иначе говоря

Кроме того, потенциальная энергия теперь является функцией x, у и z. А что можно сказать о пути? Путь есть некоторая кривая общего вида в пространстве; ее не так легко начертить, но идея остается прежней. А как обстоит дело с h? Что ж, и h имеет три компоненты. Путь можно сдвигать и по x, и по у, и по z, или во всех трех направлениях одновременно. Так что hтеперь вектор. От этого сильных усложнений не получается. Раз нулю должны быть равны лишь вариации первого порядка, то можно провести расчет последовательно с тремя сдвигами. Сперва можно сдвинуть h только в направлении xи сказать, что коэффициент должен обратиться в нуль. Получится одно уравнение. Потом мы сдвинем h в направлении у и получим второе. Затем сдвинем в направлении z и получим третье. Можно все, если угодно, проделать в другом порядке. Как бы то ни было, возникает тройка уравнений. Но ведь закон Ньюто­на — это тоже три уравнения в трех измерениях, по одному для каждой компоненты. Вам предоставляется самим убедить­ся, что это все действует и в трех измерениях (работы здесь не так много). Между прочим, можно взять какую угодно систему координат, полярную, любую, и сразу получить зако­ны Ньютона применительно к этой системе, рассматривая, что получится, когда произойдет сдвиг h вдоль радиуса или по углу, и т. д.

  • Читать дальше
  • 1
  • ...
  • 30
  • 31
  • 32
  • 33
  • 34
  • 35
  • 36
  • 37
  • 38
  • 39
  • 40
  • ...

Ебукер (ebooker) – онлайн-библиотека на русском языке. Книги доступны онлайн, без утомительной регистрации. Огромный выбор и удобный дизайн, позволяющий читать без проблем. Добавляйте сайт в закладки! Все произведения загружаются пользователями: если считаете, что ваши авторские права нарушены – используйте форму обратной связи.

Полезные ссылки

  • Моя полка

Контакты

  • chitat.ebooker@gmail.com

Подпишитесь на рассылку: