Вход/Регистрация
Фейнмановские лекции по физике. 6. Электродинамика
вернуться

Фейнман Ричард Филлипс

Шрифт:

Метод может быть обобщен и на произвольное число частиц. Если, скажем, у вас есть две частицы и между ними действуют какие-то силы и имеется взаимная потенциальная энергия, то вы просто складываете их кинетические энергии и вычитаете из суммы потенциальную энергию взаимодействия. А что вы варьируете? Пути обеих частиц. Тогда для двух частиц, движу­щихся в трех измерениях, возникает шесть уравнений. Вы мо­жете варьировать положение частицы 1 в направлении x, в направлении у и в направлении z, и то же самое проделать с частицей 2, так что существует шесть уравнений. И так и должно быть. Три уравнения определяют ускорение частицы 1 через силу, действующую на нее, а три других — ускорение частицы 2 из-за силы, действующей на нее. Следуйте всегда тем же правилам игры, и вы получите закон Ньютона для про­извольного числа частиц.

Я сказал, что мы получим закон Ньютона. Это не совсем верно, потому что в закон Ньютона входят и неконсервативные силы, например трение. Ньютон утверждал, что та равно вся­кой F. Принцип же наименьшего действия справедлив только для консервативных систем, таких, где все силы могут быть получены из потенциальной функции. Но ведь вы знаете, что на микроскопическом уровне, т. е. на самом глубинном физи­ческом уровне, неконсервативных сил не существует. Некон­сервативные силы (такие, как трение) появляются только от того, что мы пренебрегаем микроскопическими сложными эф­фектами: просто слишком много частиц приходится анализировать. Фундаментальные же законы могут быть выражены в виде принципа наименьшего действия.

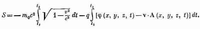
Позвольте перейти к дальнейшим обобщениям. Положим, нас интересует, что будет, когда частица движется релятивист­ски. Пока мы не получили правильного релятивистского уравнения движения; F=ma верно только в нерелятивистских дви­жениях. Встает вопрос: существует ли в релятивистском случае соответствующий принцип наименьшего действия? Да, су­ществует. Формула в релятивистском случае такова:

Первая часть интеграла действия — это произведение массы покоя m0 на с2 и на интеграл от функции скорости Ц(1-v2/c2). Затем вместо того, чтобы вычитать потенциальную энергию, мы имеем интегралы от скалярного потенциала j и от вектор­ного потенциала А, умноженного на v, Конечно, здесь приняты во внимание только электромагнитные силы. Все электрические и магнитные поля выражены в терминах j и А. Такая функция действия дает полную теорию релятивистского движения от­дельной частицы в электромагнитном поле.

Конечно, вы должны понимать, что всюду, где я написал v, прежде чем делать выкладки, следует подставить dx/dt вместо vxи т. д. Кроме того, там, где я писал просто х, у, z, вы должны представить себе точки в момент t: x(t), y(t), z(t). Собственно, только после таких подстановок и замен v у вас получится фор­мула для действия релятивистской частицы. Пусть самые уме­лые из вас попытаются доказать, что эта формула для дей­ствия действительно дает правильные уравнения движения теории относительности. Позвольте лишь посоветовать для начала отбросить А, т. е. обойтись пока без магнитных полей. Тогда вы должны будете получить компоненты уравнения движения dp/dt=-qСj, где, как вы, вероятно, помните, p=mv/Ц(l-v2/с2).

Включить в рассмотрение векторный потенциал А намного труднее. Вариации тогда становятся несравненно более слож­ными. Но в конце сила оказывается равной тому, чему следует: q(E+vXB). Но позабавьтесь с этим сами.

Мне хотелось бы подчеркнуть, что в общем случае (к при­меру, в релятивистской формуле) под интегралом в действии уже не стоит разность кинетической и потенциальной энергий. Это годилось только в нерелятивистском приближении. На­пример, член m0c2Ц(1-v2/с2) — это не то, что называют кине­тической энергией. Вопрос о том, каким должно быть действие для произвольного частного случая, может быть решен после некоторого числа проб и ошибок. Это задача того же типа, что и определение, каковы должны быть уравнения движения. Вы просто должны поиграть с известными вам уравнениями и посмотреть, можно ли их написать в виде принципа наимень­шего действия.

Еще одно замечание по поводу терминологии. Ту функцию, которую интегрируют по времени, чтобы получить действие S, называют лагранжианом ж. Это функция, зависящая только от скоростей и положений частиц. Так что принцип наименьшего действия записывается также в виде

где под xiи viподразумеваются все компоненты координат и скоростей. Если вы когда-нибудь услышите, что кто-то говорит о «лагранжиане», знайте, что речь идет о функции, применяемой для получения S. Для релятивистского движения в электро­магнитном поле

Кроме того, я должен отметить, что самые дотошные и пе­дантичные люди не называют S действием. Его именуют «первой главной функцией Гамильтона». Но читать лекцию о «принципе наименьшей первой главной функции Гамильтона» было свыше моих сил. Я назвал это «действием». Да к тому же все больше и больше людей называют это «действием». Видите ли, истори­чески действием было названо нечто другое, не столь полезное для науки, но я думаю, что разумнее изменить определение. Теперь и вы начнете именовать новую функцию действием, а вскоре и все вообще станут называть ее этим простым именем.

Теперь я хочу сообщить вам по поводу нашей темы кое-что, похожее на те рассуждения, которые я вел по поводу принципа кратчайшего времени. Существует разница в самом существе закона, утверждающего, что некоторый интеграл, взятый от одной точки до другой, имеет минимум,— закона, который сообщает нам что-то обо всем пути сразу, и закона, который говорит, что когда вы двигаетесь, то, значит, есть сила, приво­дящая к ускорению. Второй подход докладывает вам о каждом вашем шаге, он прослеживает ваш путь пядь за пядью, а пер­вый выдает сразу какое-то общее утверждение обо всем прой­денном пути. Толкуя о свете, мы говорили о связи этих двух подходов. Теперь я хочу объяснить вам, отчего должны суще­ствовать дифференциальные законы, если имеется такой прин­цип — принцип наименьшего действия. Причина вот в чем: рассмотрим действительно пройденный в пространстве и вре­мени путь. Как и прежде, обойдемся одним измерением, так что можно будет начертить график зависимости xот t. Вдоль истинного пути S достигает минимума. Положим, что у нас есть этот путь и что он про­ходит через некоторую точку а пространства и времени и через другую соседнюю точку b.

  • Читать дальше
  • 1
  • ...
  • 31
  • 32
  • 33
  • 34
  • 35
  • 36
  • 37
  • 38
  • 39
  • 40
  • 41
  • ...

Ебукер (ebooker) – онлайн-библиотека на русском языке. Книги доступны онлайн, без утомительной регистрации. Огромный выбор и удобный дизайн, позволяющий читать без проблем. Добавляйте сайт в закладки! Все произведения загружаются пользователями: если считаете, что ваши авторские права нарушены – используйте форму обратной связи.

Полезные ссылки

  • Моя полка

Контакты

  • chitat.ebooker@gmail.com

Подпишитесь на рассылку: