Вход/Регистрация
Фейнмановские лекции по физике. 6. Электродинамика
вернуться

Фейнман Ричард Филлипс

Шрифт:

Даже когда b/a=2 (а это приводит уже к довольно большим отличиям между постоянным и линейным полем), я все еще получаю довольно сносное приближение. Ответ, конечно, как и ожидалось, чуть завышен. Но если тонкую проволочку по­местить внутри большого цилиндра, то все выглядит уже го­раздо хуже. Тогда поле изменяется очень сильно и замена его постоянным полем ни к чему хорошему не приводит. При b/а=100мы завышаем ответ почти вдвое. Для малых b/а поло­жение выглядит намного лучше. В противоположном пределе, когда промежуток между проводниками не очень широк (ска­жем, при b/а=1,1), постоянное поле оказывается весьма хорошим приближением, оно дает значение С с точностью до десятых процента.

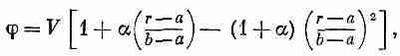
А теперь я расскажу вам, как усовершенствовать этот рас­чет. (Ответ для цилиндра вам, разумеется, известен, но тот же способ годится и для некоторых других необычных форм кон­денсаторов, для которых правильный ответ вам может быть и не известен.) Следующим шагом будет подыскание лучшего приближения для неизвестного нам истинного потенциала j. Скажем, можно испытать константу плюс экспоненту j и т. д. Но как вы узнаете, что у вас получилось лучшее приближение, если вы не знаете истинного j? Ответ: Подсчитайте С; чем оно ниже, тем к истине ближе. Давайте проверим эту идею. Пусть потенциал будет не линейным, а, скажем, квадратичным по r, а электрическое поле не постоянным, а линейным. Самая общая квадратичная

форма, которая обращается в j =0 при r=b и в j =V при r=а, такова:

где a — постоянное число. Эта формула чуть сложнее прежней. В нее входит и квадратичный член, и линейный. Из нее очень легко получить поле. Оно равно просто

Теперь это нужно возвести в квадрат и проинтегрировать по объему. Но погодите минутку. Что же мне принять за a? За j я могу принять параболу, но какую? Вот что я сделаю: подсчитаю емкость при произвольном a. Я получу

Это выглядит малость запутанно, но так уж выходит после интегрирования квадрата поля. Теперь я могу выбирать себе а. Я знаю, что истина лежит ниже, чем все, что я собираюсь вычислить. Что бы я ни поставил вместо a, ответ все равно полу­чится слишком большим. Но если я продолжу свою игру с а и постараюсь добиться наинизшего возможного значения С, то это наинизшее значение будет ближе к правде, чем любое другое значение. Следовательно, мне теперь надо подобрать а так, чтобы значение С достигло своего минимума. Обращаясь к обычному дифференциальному исчислению, я убеждаюсь, что минимум С будет тогда, когда a=-2b/(b+а). Подставляя это значение в формулу, я получаю для наименьшей емкости

Я прикинул, что дает эта формула для С при различных значениях b/а. Эти числа я назвал С (квадратичные). Привожу таблицу, в которой сравниваются С (квадратичные) с С (истин­ными).

Например, когда отношение радиусов равно 2:1, я полу­чаю 1,444. Это очень хорошее приближение к правильному ответу, 1,4423. Даже при больших b/а приближение остается довольно хорошим — оно намного лучше первого приближения. Оно остается сносным (завышение только на 10%) даже при b/а=10:1. Большое расхождение наступает только при от­ношении 100:1. Я получаю С равным 0,346 вместо 0,267. С другой стороны, для отношения радиусов 1,5 совпадение превосходное, а при b/a=1,1 ответ получается 10,492065 вместо положенного 10,492070. Там, где следует ожидать хорошего ответа, он оказывается очень и очень хорошим.

Я привел все эти примеры, во-первых, чтобы продемонстри­ровать теоретическую ценность принципа минимального дей­ствия и вообще всяких принципов минимума, и, во-вторых, чтобы показать вам их практическую полезность, а вовсе не для того, чтобы подсчитать емкость, которую мы и так велико­лепно знаем. Для любой другой формы вы можете испробовать приближенное поле с несколькими неизвестными параметрами (наподобие а) и подогнать их под минимум. Вы получите пре­восходные численные результаты в задачах, которые другим способом не решаются.

Добавление, сделанное после лекции

Мне не хватило времени на лекции, чтобы сказать еще об одной вещи (всегда ведь готовишься рассказать больше, чем успеваешь). И я хочу сделать это сейчас. Я уже упоминал о том, что, готовясь к этой лекции, заинтересовался одной задачей. Мне хочется вам рассказать, что это за задача. Я заметил, что большая часть принципов минимума, о которых шла речь, в той или иной форме вытекает из принципа наименьшего действия механики и электродинамики. Но существует еще класс прин­ципов, оттуда не вытекающих. Вот пример. Если сделать так, чтобы токи протекали через массу вещества, удовлетворяющего закону Ома, то токи распределятся в этой массе так, чтобы скорость, с какой генерируется в ней тепло, была наименьшей. Можно также сказать иначе (если температура поддерживается постоянной): что скорость выделения энергии минимальна. Этот принцип, согласно классической теории, выполняется даже в распределении скоростей электронов внутри металла, по которому течет ток. Распределение скоростей не совсем рав­новесно [см. гл. 40 (вып. 4), уравнение (40.6)], потому что они медленно дрейфуют в стороны. Новое распределение можно найти из того принципа, что оно при данном токе должно быть таково, что развивающаяся в секунду за счет столкновений энтропия уменьшится настолько, насколько это возможно. Впрочем, правильное описание поведения электронов должно быть квантовомеханическим. Так вот в чем состоит вопрос: должен ли этот самый принцип минимума развивающейся энтро­пии соблюдаться и тогда, когда положение вещей описывается квантовой механикой? Пока мне не удалось это выяснить.

Вопрос этот интересен, конечно, и сам по себе. По­добные принципы возбуждают воображение, и всегда стоит попробовать выяснить, насколько они общи. Но мне необхо­димо это знать и по более практической причине. Вместе с несколькими коллегами я опубликовал работу, в которой с по­мощью квантовой механики мы примерно рассчитали электри­ческое сопротивление, испытываемое электроном, пробираю­щимся сквозь ионный кристалл, подобный NaCl. [Статья об этом была напечатана в Physical Review, 127, 1004 (1962) и называется «Подвижность медленных электронов в полярных кристаллах».] Но если бы существовал принцип минимума, мы могли бы воспользоваться им, чтобы сделать результат на­много более точным, аналогично тому как принцип минимума емкости конденсатора позволил нам добиться столь высокой точности для емкости, хотя об электрическом поле наши сведе­ния были весьма неточными.

  • Читать дальше
  • 1
  • ...
  • 35
  • 36
  • 37
  • 38
  • 39
  • 40
  • 41
  • 42
  • 43
  • 44
  • 45
  • ...

Ебукер (ebooker) – онлайн-библиотека на русском языке. Книги доступны онлайн, без утомительной регистрации. Огромный выбор и удобный дизайн, позволяющий читать без проблем. Добавляйте сайт в закладки! Все произведения загружаются пользователями: если считаете, что ваши авторские права нарушены – используйте форму обратной связи.

Полезные ссылки

  • Моя полка

Контакты

  • chitat.ebooker@gmail.com

Подпишитесь на рассылку: