Вход/Регистрация
Техника бросков в системе боевого карате и рукопашного боя
вернуться

Травников Александр Игоревич

Шрифт:

Фото 19

Фото 20

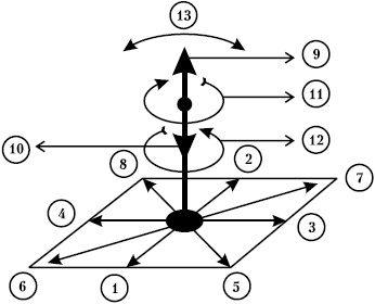
Если представить направления выведения из равновесия противника, как статичного объекта [23] , то можно использовать схему, представленную на рис. 1.

Рис. 1

• 0—1 – выведение из равновесия вперед.

• 0—2 – выведение из равновесия назад.

• 0—3 – выведение из равновесия влево.

• 0—4 – выведение из равновесия вправо.

• 0—5 – выведение из равновесия вперед влево.

• 0—6 – выведение из равновесия вперед вправо.

• 0—7 – выведение из равновесия назад влево.

• 0—8 – выведение из равновесия назад вправо.

• 0—9 – выведение из равновесия движением вверх.

• 10—0 – выведение из равновесия вниз.

• 11 – выведение из равновесия скручиванием по часовой стрелке.

• 12 – выведение из равновесия скручиванием против часовой стрелки.

• 0—13 – выведение из равновесия опрокидыванием.

Наклон плоскости вращения или наклон оси вращения значительно усложняет систему, описывающую направления техники выведения из равновесия.

Эта простая схема позволяет обеспечить системный подход и наглядность в обучении технике вариативности выведения противника из равновесия при изучении техники бросков.

В отличие от спортивных видов борьбы, где основным способом выведения из равновесия является выведение из равновесия для проведения броска с помощью различных захватов, в боевых и прикладных системах можно использовать любые способы. С методической точки зрения наиболее правильным решением являются переход от изучения способов выведения из равновесия к овладению основными принципами выведения из равновесия. Такими известными принципами является принцип поглощения силы, принцип дзюдо «поддаться, чтобы победить», принцип мягкости, превращающейся в силу, принцип вращения и вовлечения в него противника и многие другие способы воздействия и управления противником.

Пример выведения противника из равновесия вращением – фото 21 — 22.

Фото 21

Фото 22

Некоторые советы по выведению из равновесия:

• Действуйте на опережение;

• Думайте и за себя и за противника;

• Концентрируйте все силы в одну точку;

• Соединение силы, темпа, ритма и импульса движения в одну волну с противником;

• Ловите момент;

• Вовлекайте противника во вращение по спирали. Вовнутрь или наружу;

• Соблюдайте принцип сопровождения. «Ведите» противника, пока он не потеряет равновесия и не упадет;

• Не позволяете противнику восстанавливать равновесие;

• Объединяйте свои силы с противником;

• Если действовать правильно, противник потеряет равновесие сам;

• Используйте принцип перенаправления силы и вектора движения силы;

• Соединяйте принцип применения силы с принципом лишения или отказа от силы.

При определенном уровне подготовки техника выведения из равновесия может послужить причиной падения противника.

Пример выведения противника из равновесия и бросок опрокидыванием его вперед рывком двумя руками на себя – фото 23 — 24.

Фото 23

Фото 24

Пример выведения и броска противника и опрокидывания его на спину встречным ударом основанием ладони вперед в голову с одновременным уходом с линии атаки вперед влево – фото 25 — 26.

Фото 25

Фото 26

Для выведения противника из равновесия важно использовать волевое давление на него, ментальный навык вовлечения его в движение, создание и формирование у него иллюзий.

Глава третья. Техника бросков

Раздел 1. Базовый курс 1

Первая группа приемов (А). 9 приемов.

Базовый курс обучения технике бросков по системе боевого карате и оперативного рукопашного боя включает в себя 9 основных бросков, рекомендуемых к изучению в первую очередь.

Следует иметь в виду, что в данном варианте речь идет об учебных бросках, которые должны выполняться в идеальном, модельном варианте.

Одновременно следует учитывать, что в реальном и даже учебном свободном поединке броски могут выполняться не только с сохранением основной стойки, но и с падением.

В этом курсе представлены основные, базовые варианты учебной техники выполнения бросков. Необходимо учитывать, что каждый из представленных 9 бросков имеет множество вариантов выполнения. Овладение техникой вариативного выполнения того или иного классического или базового броска происходит на следующем этапе обучения. Одновременно необходимо учитывать, что на практике каждый бросок сугубо индивидуален, даже если они имеют схожие названия.

Специфика каждого броска во многом зависит от того, кто является вашим противником. Предположим, вам очень удобно проводить один из бросков против некоего противника. Однако этот же, пусть и отработанный до совершенства бросок может оказаться неисполнимым в поединке с другим противником. Поэтому требуется учитывать абсолютно все нюансы и мелочи.

Последовательность представленных к изучению 9 базовых техник бросков подчиняется определенной логике действия, предполагающей движение от простого к сложному. Кроме того, здесь учитывается задача совершенствования навыков действия не только того, кто отрабатывает выполнение броска, но и помогающего.

Отработка техники базовых бросков предполагает следующую последовательность освоения бросков:

1. Бросок с захватом двух ног при подходе сзади.

2. Бросок с захватом двух ног при подходе спереди.

3. Бросок через бедро.

4. Бросок «передняя подножка».

5. Бросок «задняя подножка».

6. Бросок через себя с упором ногой в живот в падении.

7. Бросок через спину (плечо).

8. Бросок через плечи (мельница).

9. Бросок «боковая подсечка».

Одной из причин выбора предложенной последовательности изучения техники бросков является необходимость совершенствования навыков страховки и самостраховки того, на ком отрабатывается техника броска.

1. Бросок с захватом двух ног при подходе сзади – фото 1—6.

Начало выполнения приема предполагает обозначение выполнения отвлекающих действий или нанесение отвлекающего удара (фото 2). После выполнения самого броска в обязательном порядке обозначается завершающий удар ногой (фото 5—6) .

Фото 1

Фото 2

Фото 3

Фото 4

Фото 5

Фото 6

2. Бросок с захватом двух ног при подходе спереди – фото 7—15.

Начало выполнения приема предполагает обозначение выполнения отвлекающих действий или нанесение отвлекающего удара (фото 8) . После выполнения техники броска в обязательном порядке отрабатываются действия, завершающие бросок. Например, удар ногой.

В этом варианте выполнения приема и техники броска представлено выполнение техники болевого приема на ногу (ущемление ахиллесова сухожилия, (фото 11 — 15) .

Фото 7

  • Читать дальше
  • 1
  • ...
  • 11
  • 12
  • 13
  • 14
  • 15
  • 16
  • 17
  • 18
  • 19
  • 20
  • 21
  • ...

Ебукер (ebooker) – онлайн-библиотека на русском языке. Книги доступны онлайн, без утомительной регистрации. Огромный выбор и удобный дизайн, позволяющий читать без проблем. Добавляйте сайт в закладки! Все произведения загружаются пользователями: если считаете, что ваши авторские права нарушены – используйте форму обратной связи.

Полезные ссылки

  • Моя полка

Контакты

  • chitat.ebooker@gmail.com

Подпишитесь на рассылку: