Вход/Регистрация
После «Структуры научных революций»
вернуться

Кун Томас

Шрифт:

Теперь для выражения этого смысла мне больше нравится другое обозначение, а именно «дисциплинарная матрица». «Дисциплинарная», поскольку она является общей для представителей конкретной дисциплины; «матрица», поскольку она состоит из упорядоченных элементов, требующих индивидуальной специализации. Все общепризнанные вещи, которые в своей книге я называл парадигмами, частями парадигм или парадигмальными, нашли бы свое место в дисциплинарной матрице, однако теперь они не были бы свалены в одну кучу. В их числе были бы: общепризнанные символические обобщения типа «f = ma» или «элементы соединяются в постоянных пропорциях согласно весу»; признанные модели – метафизические, например: атомизм, или эвристические типа гидродинамической модели электрического тока; общепринятые ценности, например, точность предсказаний; и иные элементы подобного сорта.

Среди них я бы особо выделил решения конкретных проблем, стандартные примеры решенных проблем, с которыми будущий ученый знакомится в учебных лабораториях, в научных текстах и с которыми сталкивается на экзаменах. Именно такие решения проблем я хотел бы называть парадигмами, ибо как раз они и подтолкнули меня к выбору данного термина. Однако, утратив контроль над этим словом, я впоследствии стал называть их образцами [148] .

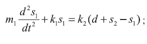
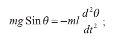
Решения проблем такого сорта обычно рассматриваются лишь как применение уже усвоенной теории. Учащийся решает их для практики, для приобретения способности применять то, что он уже знает. Такое описание, безусловно, правильно, когда уже решено достаточное число проблем, однако оно неверно, как мне представляется, для начала обучения. Скорее в ходе решения проблем усваивается язык теории и приобретается знание природы, воплощенное в этом языке. Например, в механике решение многих проблем опирается на второй закон Ньютона, обычно формулируемый в виде «f = ma». Однако это символическое выражение дает скорее набросок закона, а не сам закон. Для решения каждой физической проблемы его приходится переписывать, придавая ему иную символическую форму, позволяющую применять его для логической и математической дедукции. Для свободного падения он приобретает такой вид:

Для маятника такой:

Для пары гармонических осцилляторов он выражается в виде двух уравнений, первое из которых может выглядеть таким образом:

И так далее.

Не имея места для более подробного развития этого аргумента, я буду просто утверждать, что физики принимают некоторые правила, явные или неявные, посредством которых осуществляют переход от наброска закона к конкретной символической форме, необходимой для решения данной конкретной проблемы. Имея перед глазами ряд образцовых решений проблем, они приучаются разные физические ситуации рассматривать как похожие одна на другую. Они видят их, если угодно, через ньютоновские очки.

Как только студент приобрел способность видеть таким образом какое-то число проблемных ситуаций, он может легко записать символические формы, требуемые другими такими ситуациями. Однако до этого второй закон Ньютона был для них не более чем строкой неинтерпретированных символов. Хотя они принимали эту строку, но не понимали, что она значит, поэтому она ничего не говорила им о природе. Однако то, что им нужно было еще усвоить, воплощалось не в дополнительных символических формулировках. Необходимое им знание приобреталось в процессах, похожих на остенсию, – в процессах непосредственного знакомства с рядом ситуаций, каждая из которых была ньютоновской.

Рассмотрение проблемных ситуаций как похожих одна на другую, как предполагающих применение сходных технических средств является также важной частью нормальной научной работы. Это можно проиллюстрировать убедительным примером.

Галилей обнаружил, что шар, скатывающийся по наклонной плоскости, приобретает такую скорость, что может достигнуть первоначальной высоты, поднимаясь по другой наклонной плоскости. Он стал рассматривать эту экспериментальную ситуацию как похожую на движение маятника с точечной массой на конце.

Затем Гюйгенс решил проблему нахождения центра качаний физического маятника, представив, что тело маятника составлено из точечных маятников Галилея, связь между которыми может исчезнуть в любой точке колебаний. После исчезновения этой связи индивидуальные точечные маятники должны были бы колебаться свободно, но когда каждый из них находился в своей высшей точке, их общий центр тяжести мог бы находиться лишь на той высоте, с которой начал движение центр тяжести всего маятника.

Наконец, Даниил Бернулли, еще не имея в виду законов Ньютона, обнаружил, каким образом истечение воды из отверстия в резервуар можно уподобить маятнику Гюйгенса. Зададим падение центра тяжести воды в резервуар, и пусть струя вытекает бесконечно долгое время. Затем вообразим, что каждая падающая частица воды движется отдельно вверх до максимальной высоты, до которой она может подняться благодаря скорости, приобретенной в конечной точке падения. Тогда подъем центра гравитации отдельной частицы должен быть равен падению центра гравитации воды в резервуаре и в струе. Такая точка зрения на проблему сразу же давала среднюю скорость истечения воды.

Эти примеры наглядно демонстрируют то, что имела в виду мисс Мастерман, когда говорила о парадигме как о фундаментальном артефакте, преобразующем проблемы в головоломки и позволяющем их решать даже в отсутствие подходящей теории.

Не ясно ли, что мы опять возвращаемся к языку и его связи с природой? Во всех приведенных выше примерах был использован лишь один закон. Известный как принцип vis viva, в общем виде он был сформулирован так: «Реальное падение равно потенциальному подъему».

Изучение этих примеров является существенной частью (но только частью) приобретения знания о том, что – по отдельности и вместе – означают слова, входящие в этот закон, или о том, как они соотносятся с природой. В равной мере это также есть часть знания о том, как ведет себя мир. Эти две части нельзя разделить.

Такую же двойную роль исполняют учебники, по которым студент обучается открывать в природе силы, массы, ускорения, узнает, что означает уравнение «f = ma» и как его можно соотносить с природой.

Конечно, ни в одном из этих случаев примеры не выступают в одиночестве. Студент должен знать математику, кое-что из логики, но прежде всего – естественный язык и мир, к которому относится этот язык. Однако последняя пара усваивается в значительной мере точно таким же способом, посредством ряда остенсий, которые приучают человека видеть мать, как всегда, подобную самой себе и отличную от отца и сестер, которые учат его видеть сходство всех собак и их отличие от кошек, и т. д.

Этими заученными отношениями сходства – несходства мы пользуемся каждый день, они не вызывают у нас проблем, хотя часто мы не способны указать характеристики, которыми пользуемся при установлении сходств и различий. Таким образом, они предшествуют тому набору критериев, который, будучи выражен в символическом обобщении, позволил бы нам дать определения нашим терминам.

  • Читать дальше
  • 1
  • ...
  • 33
  • 34
  • 35
  • 36
  • 37
  • 38
  • 39
  • 40
  • 41
  • 42
  • 43
  • ...

Ебукер (ebooker) – онлайн-библиотека на русском языке. Книги доступны онлайн, без утомительной регистрации. Огромный выбор и удобный дизайн, позволяющий читать без проблем. Добавляйте сайт в закладки! Все произведения загружаются пользователями: если считаете, что ваши авторские права нарушены – используйте форму обратной связи.

Полезные ссылки

  • Моя полка

Контакты

  • chitat.ebooker@gmail.com

Подпишитесь на рассылку: