Шрифт:
Обычно подавляющее большинство монет в кладах начального периода обращения дирхема составляют куфические монеты. Во всех кладах, исключая Княщинский и Могилевский, их было не менее 80 % всех монет. Старо-Ладожский клад из Минской губ., Элмедский, Литвиновичский и, по-видимому, Загородьевский клады состояли исключительно из куфических монет, причем подавляющее их большинство (в некоторых случаях 100 %) составляют дирхемы Аббасидов, а более скромное место занимают более ранние дирхемы Омейядов. Из монет остальных династий, входящих в клады в качестве незначительной примеси, более или менее постоянно присутствуют монеты Идрисидов и губернаторов Тудги.
Существенной и неповторимой особенностью состава куфической части кладов конца VIII – первой трети IX в. является преобладание монет африканской чеканки (значительная часть аббасидских монет и только что названные монеты Идрисидов и губернаторов Тудги). Эта особенность, отмеченная Р. Р. Фасмером как формальный признак кладов рассматриваемого периода, имела очень большое значение для формирования системы русского денежного счета.
Подсчет в кладах отношения числа африканских монет к сумме всех монет можно представить в виде таблички, в которой для сравнения показано такое же отношение числа монет второй по количеству (для рассматриваемого времени) территориальной группы куфических монет – дирхемов, чеканенных в Ираке:
В большинстве случаев процент африканских монет в кладах начального периода обращения дирхема значителен; в некоторых кладах они составляют большинство. Обращает на себя внимание резкое уменьшение количества таких монет уже в кладах середины 20-х гг. IX в.
Суммируя наблюдения над составом кладов по месту чеканки их монет, можно назвать следующие основные группы монет: 1) монеты африканской чеканки – количественно определяющая группа; 2) азиатские монеты Аббасидов; 3) омейядские монеты; 4) монеты Испегбедов; 5) монеты Сасанидов.
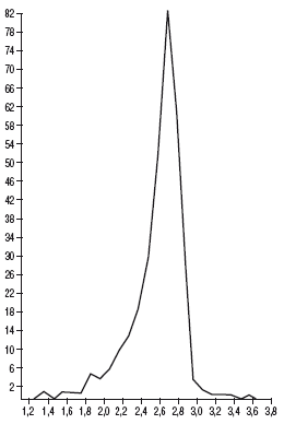
Рис. 6. Весовая диаграмма дирхемов африканской чеканки 759–826 гг. (Аббасиды, Идрисиды). По 325 экз. коллекций Эрмитажа и Харьковского музея; последние по книге Р. Шерцля «Описание медалей и монет, хранящихся в нумизматическом кабинете Харьковского университета», III, Восточные монеты. Харьков, 1912
Рассмотрение хронологического состава кладов первой трети IX в. обнаруживает существенную особенность, присущую только им. Она состоит в том, что почти в каждом кладе встречается немного монет первых годов, или 10-х, или 20-х, или 30-х гг. VIII в. Хронология монетного состава этой «древнейшей» части кладов скачкообразна. Такой особенности клады более позднего времени не знают. Приведенное наблюдение дает возможность говорить о том, что сам состав монетного обращения стран Востока, откуда поступал весь поток смешанных в хронологическом отношении монет, был в VIII и начале IX в. более пестрым, нежели в последующее время. В денежном обращении, имевшем дело в основном с новой монетой, участвовало и большое количество более ранних монет, отсев которых был сравнительно замедленным, что вполне объяснимо. До конца VIII в. восточная монета обращалась только в пределах восточных рынков. Установление связей с Восточной Европой привело к мощному отливу серебра на север, что резко активизировало процесс обновления и освобождения от старой монеты состава монетного обращения на родине дирхема.
Рассмотрим метрологические особенности названных выше пяти основных групп монет, представленных в кладах начального периода обращения дирхема в Восточной Европе.
1. Дирхемы африканской чеканки. Для изучения метрологических особенностей монет этой группы были привлечены весовые данные аббасидских (до конца первой четверти IX в.), идри-сидских (790–826 гг.) монет, а также монет губернаторов Тудги того же времени из коллекций Эрмитажа и Харьковского музея [195] . В общей сложности имеются данные о весе 325 монет. Из этого количества 225 монет показали вес 2,5–2,9 г, в том числе 144 монеты имеют вес 2,6–2,8 г; остальные 100 расширяют амплитуду колебания весовой нормы главным образом в сторону более легковесных монет (потертые, дефектные и обрезанные экземпляры) (рис. 6). Весовая норма монет африканской чеканки заключена между 2,7 и 2,8 г.
195
Здесь и в дальнейшем использованы разобранные эрмитажные коллекции, описания которых содержатся в инвентарных книгах Отдела нумизматики Гос. Эрмитажа. Матлы харьковской коллекции излагаются по книге Р. Шерцля «Описание медалей и монет, хранящихся в нумизматическом кабинете Харьковского университета», III, Восточные монеты. Харьков, 1912.
2. Аббасидские дирхемы азиатской чеканки. Метрология азиатского чекана Аббасидов кончая первой третью IX в. изучена по данным коллекции Эрмитажа. Весовая норма этих монет оказалась чрезвычайно выдержанной на всем протяжении второй половины VIII в. и первой трети IX в. Результаты взвешивания монет представлены на четырех диаграммах (по периодам чеканки): из 219 монет Саффаха и Мансура (750–775 гг.) вес 190 дирхемов ограничивается в пределах 2,7–3,0 г при норме 2,8–2,9 г (рис. 7);
из 183 монет Махди и Хади (775–787 гг.) вес 161 ограничен в пределах 2,6–3,0 г при норме 2,8–2,9 г (рис. 8);
из 415 монет Харуна (787–809 гг.) вес от 2,7 до 3,0 г имеют 304 экземпляра при норме 2,8–2,9 г (рис. 9);
наконец, из 397 монет Амина и Мамуна (809–833 гг.) тот же вес имеют 304 экз. при той же норме 2,8–2,9 г (рис. 10).
Рис. 7. Весовая диаграмма дирхемов азиатского чекана халифов Саффаха и Мансура (750–775 гг.). По 219 экз. коллекции Эрмитажа
Рис. 8. Весовая диаграмма дирхемов азиатского чекана халифов Махди и Хади (775–787 гг.). По 183 экз. коллекции Эрмитажа
Большинство остальных монет во всех четырех группах составляют потертые и дефектные экземпляры.
Рис. 9. Весовая диаграмма дирхемов азиатского чекана халифа Харуна (787–809 гг.). По 415 экз. коллекции Эрмитажа
Рис. 10. Весовая диаграмма дирхемов халифов Амина и Мамуна (809–833 гг.). По 397 экз. коллекции Эрмитажа
Весовая норма всех аббасидских монет, чеканенных в рассматриваемое время в азиатских центрах Халифата, остается неизменной. Она заключена в пределах 2,8–2,9 г. Эта норма на 0,1 г превышает установленную выше норму африканских монет. Небольшое расхождение обеих выведенных норм достаточно наглядно показано на диаграмме весового состава Элмедского клада 821 г. (рис. 11).
