Вход/Регистрация
Простая одержимость. Бернхард Риман и величайшая нерешенная проблема в математике.
вернуться

Дербишир Джон

Шрифт:

Сложение двух комплексных чисел — дело несложное. Надо просто складывать по отдельности вещественные части и отдельно мнимые части: сложение комплексных чисел -2 + 7 iи 5 + 12 iдаст 3 + 19 i. То же и с вычитанием: если в последнем примере вычитать, а не складывать, получим -7 - 5 i. Что касается умножения, надо только помнить правило раскрытия скобок, не забывая при этом, что i 2 = -1: так, (-2 + 7 i)x(5 + 12 i) дает -10 - 24 i + 35 i + 84 i 2, что сводится к -94 + 11 i. В общем случае (a + bi)x(c + di) = (ac - bd) + (bc + ad)i.

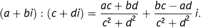
Деление основано на нехитром приеме. Что такое 2: i?. Ответ: запишем это в виде дроби, как 2/ i. Чудесное свойство дробей состоит в том, что одновременное умножение и числителя, и знаменателя на одно и то же число (не равное нулю) не изменяет дроби: 3/ 4, 6/ 8, 15/ 20и 12 000/ 16 000— это все разные способы записи одной и той же дроби. Итак, умножим числитель и знаменатель дроби 2/ iна - i. Умножение двойки на - iдаст, конечно, -2 i, а iумножить на - iесть - i 2, то есть -(-1), что равно 1. Следовательно, 2/ iравно -2 i/1, что есть просто -2 i.

Такое всегда можно сделать — превратить знаменатель дроби в вещественное число. А поскольку всем известно, как делить на вещественные числа, мы у цели. Как нам поделить два полновесных комплексных числа, скажем, (-7 - 4 i)/(-2 + 5 i)? Вот как: умножим числитель и знаменатель на -2 - 5 i. Давайте сначала выполним умножение сверху: (-7 - 4 i)x(-2 - 5 i) = -6 + 43 i. Теперь снизу: (-2 + 5 i)x(-2 - 5 i) = 29. Ответ: - 6/ 29+ 43/ 29 i. Знаменатель дроби (a + bi)/(c + di)всегда можно превратить в вещественное число, умножив ее на (c - di). Общее правило на самом деле имеет вид

А каков квадратный корень из i? Не потребуется ли нам ввести целый новый класс чисел, чтобы включить i? И все далее и далее до бесконечности? Ответ: перемножим скобки (1 + i)x(1 + i). Результат, как можно видеть, равен 2 i. Значит, квадратный корень из 2 iравен 1 + i. С поправкой на масштаб, квадратный корень из iдолжен быть равен 1/2 + i/2. Это число на самом деле им и является.

Комплексные числа по-настоящему прекрасны. С ними можно делать все, что угодно. Можно даже возводить их в комплексные степени, если вы полностью отдаете себе отчет в том, что делаете. Например, (-7 - 4 i) – 2+5 iравно приблизительно -7611,976356 + 206,350419 i. Однако подробное обсуждение этой темы мы отложим до другого момента.

V.

Чего нельзясделать с комплексными числами, так это уложить их на прямую, как вещественные.

Семейство вещественных чисел R(конечно, с содержащимися в нем Q, Zи N) очень легко себе представить. Просто выстроим все числа вдоль прямой линии. Этот способ представления вещественных чисел называется «вещественная прямая» (рис. 11.1).

Рисунок 11.1.Вещественная прямая.

Каждое вещественное число лежит где-то на этой прямой. Например, 2 расположен немного к востоку от 1, чуть ближе, чем на полпути до 2, – лежит лишь немного к западу от -3, а 1 000 000 — за пределами рисунка, где-то в соседнем районе. Ясно, что на конечном листе бумаги удается показать только часть прямой. От читателя требуется известная доля воображения.

Вещественная прямая представляется вещью очевидной, но в действительности дело с ней обстоит довольно серьезно и не лишено тайны. Рациональные числа, например, «всюду плотны» на ней. Это значит, что между любыми двумя рациональными числами найдется еще одно. А это означает, что между любыми двумя рациональными числами найдется еще бесконечно многорациональных. (Ну правда: если между aи bгарантированно живет c, то между aи c, а также между cи bгарантированно имеется некое dи некое e… и т.д., без конца.) Ладно, это почти удается себе представить. Но где же тогда помещаются иррациональные числа? Кажется, что им приходится как-то втискиваться между рациональными числами, которые, как мы только что видели, уже сидят всюду плотно! Всюду плотно — но при этом расселение еще не закончено.

Возьмем последовательность из главы 1.vii, которая сходится к 2, например 1/ 1, 3/ 2, 7/ 5, 17/ 12, 41/ 29, 99/ 70, 239/ 169, 577/ 408, 1393/ 985, 3363/ 2378, …. Ее члены по очереди делаются то меньше, то больше, чем 2, так что 1393/ 985меньше, чем 2 примерно на 0,000000036440355, a 3363/ 2378больше примерно на 0,00000006252177. Между этими двумя дробями втиснуто еще бесконечно много других дробей… и тем не менее где-то там остается место для 2. И не для одного только 2, а для бесконечного количества других иррациональностей!

  • Читать дальше
  • 1
  • ...
  • 53
  • 54
  • 55
  • 56
  • 57
  • 58
  • 59
  • 60
  • 61
  • 62
  • 63
  • ...

Ебукер (ebooker) – онлайн-библиотека на русском языке. Книги доступны онлайн, без утомительной регистрации. Огромный выбор и удобный дизайн, позволяющий читать без проблем. Добавляйте сайт в закладки! Все произведения загружаются пользователями: если считаете, что ваши авторские права нарушены – используйте форму обратной связи.

Полезные ссылки

  • Моя полка

Контакты

  • chitat.ebooker@gmail.com

Подпишитесь на рассылку: