Вход/Регистрация
Водоснабжение, канализация и отопление загородного дома
вернуться

Никитко Иван

Шрифт:

Антифризы очень текучи, гораздо текучее воды, особенно это проявляется при охлаждении системы – когда при низких температурах происходит неравномерное сжатие металла и прокладок и появляются микрощели, антифриз способен через них просочиться. Для того чтобы быстро определять утечку, антифризы на основе этиленгликоля окрашиваются в красный цвет, а на основе пропиленгликоля – в зеленый.

Антифризы на базе этиленгликоля достаточно дешевы, но имеют существенный недостаток: этиленгликоль токсичен. Поэтому для использования такого антифриза не годятся отопительные системы с открытым расширительным баком (пары этиленгликоля тоже не безвредны), и его нельзя использовать в системах отопления двухконтурного типа – такая система отопления включает в себя контур отопления и контур горячего водоснабжения, и высока вероятность того, что токсичное вещество попадет в контур горячего водоснабжения. Так что использовать антифризы на базе этиленгликоля можно только в одноконтурных отопительных системах.

Антифризы на базе пропиленгликоля гораздо дороже, но они безопаснее в применении – такие антифризы являются нетоксичными и могут быть использованы в двухконтурных системах отопления без всякого опасения за здоровье.

Все антифризы, предназначенные для использования в отопительных системах, имеют специальные присадки, снижающие вероятность коррозии, препятствующие образованию накипи, защищающие от вспенивания, препятствующие растворению и набуханию уплотнителей для герметизации. Такие присадки позволяют использовать антифризы в отопительной системе – и именно из-за отсутствия данных присадок использовать в отопительной системе автомобильный тосол нельзя, это приведет лишь к выходу системы из строя, а то и к отравлению (если тосол будет использован в двухконтурной отопительной системе или просочится, разрушив прокладки).

Антифризы выпускаются в виде концентрата, который рекомендуется разбавлять водой для получения нужной температуры замерзания. Считается, что оптимально использовать антифриз с температурой замерзания +20… +25 °C.

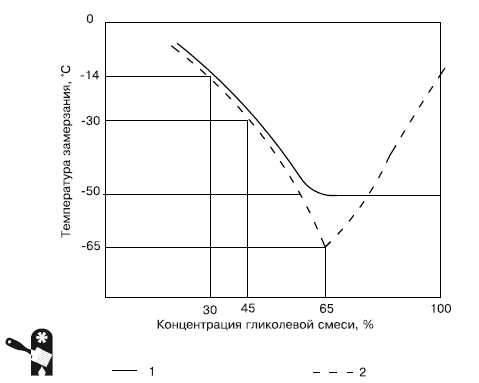
При разбавлении антифризов водой может возникнуть проблема: выпадение осадка, что происходит из-за наличия в воде солей (Рис. 3.25). Рекомендуется либо использовать дистиллированную воду, либо воду с жесткостью, не превышающей 5 мг-экв/л. К сожалению, далеко не всегда известна жесткость воды в водопроводе, а она может оказаться существенно выше, чем допустимая. Для того чтобы не переводить напрасно дорогостоящий продукт (антифриз), лучше развести водой небольшое его количество, соблюдая нужную пропорцию, и убедиться в отсутствии осадка. Если же осадок имеется, то придется отказаться от водопроводной воды и приобрести дистиллированную.

Рис. 3.25.Изменение точки замерзания в зависимости от концентрации антифриза: 1 – антифриз на основе пропиленгликоля; 2 – антифриз на основе этиленгликоля

Случается, что температура зимой падает и ниже, но при этом нет таких катастрофических последствий для отопительной системы, как в случае с водой: если вода при достижении точки замерзания превращается в лед, расширяется и разрушает систему отопления, то антифризы всего лишь густеют (до –65 °C), а затем, после отогревания, вновь возвращаются все свойства, необходимые для нормального функционирования отопительной системы, в том числе и плотность.

Иногда, желая перестраховаться, домовладельцы заливают в отопительную систему неразбавленный антифриз с температурой замерзания –65 °C. Подобная перестраховка может привести к проблемам с отопительным оборудованием и самим теплоносителем. Сначала из-за недостаточного теплосъема начнет перегреваться теплообменник, затем повышение температуры приведет к разложению присадок в антифризе. В результате разложения присадок образуется нагар, а это приведет к еще большему увеличению температуры. Следствием такого нагрева будет выход из строя теплообменника.

Планируя применять в отопительной системе антифриз, следует заранее позаботиться о выборе соответствующего оборудования: большая часть отопительного оборудования, представленного на российском рынке, рассчитана на применение воды в качестве теплоносителя. Иные требования предъявляются не только к прокладкам и герметикам (следует применять только те, которые выпускаются специально для антифриза), но и к котлам. Применение антифриза в отопительных котлах, рассчитанных на воду, приводит к перегреву теплогенератора и, как следствие, к сокращению срока его службы, возможны и аварийные отключения. Подобное связано со свойствами антифриза, которые отличаются от свойств воды – у этих веществ разная не только точка замерзания, но и плотность, теплопроводность и т. д.

Внимание

Не доверяйте продавцам, которые утверждают, что предлагаемое ими отопительное оборудование универсально и может работать с любым теплоносителем. Каждый теплоноситель обладает определенными свойствами, и отопительное оборудование рассчитано именно на них. При его приобретении ознакомьтесь с описанием производителя – в паспортах обычно указывается, какой именно теплоноситель требуется для данного вида оборудования.

Следует знать, что теплоемкость антифриза существенно ниже, чем теплоемкость воды, – разница составляет 15–20 %. А это означает, что антифриз не только хуже, чем вода, накапливает тепло, но и хуже его отдает. Поэтому требуется соответственно подбирать отопительное оборудование: более мощный циркуляционный насос, чем для воды, чтобы повысить теплосъем на теплообменнике, более мощные модели радиаторов, обладающие повышенной теплоотдачей (например, алюминиевые радиаторы), больший расширительный бак и т. д. При этом настоятельно рекомендуется проконсультироваться со специалистом относительно нюансов эксплуатации того или иного отопительного оборудования, если в качестве теплоносителя будет выступать антифриз (например, если речь идет о чугунном котле, то запускать систему следует на минимальной мощности, а на нужный режим выходить постепенно).

  • Читать дальше
  • 1
  • ...
  • 37
  • 38
  • 39
  • 40
  • 41
  • 42
  • 43
  • 44
  • 45
  • 46
  • 47
  • ...

Ебукер (ebooker) – онлайн-библиотека на русском языке. Книги доступны онлайн, без утомительной регистрации. Огромный выбор и удобный дизайн, позволяющий читать без проблем. Добавляйте сайт в закладки! Все произведения загружаются пользователями: если считаете, что ваши авторские права нарушены – используйте форму обратной связи.

Полезные ссылки

  • Моя полка

Контакты

  • chitat.ebooker@gmail.com

Подпишитесь на рассылку: