Вход/Регистрация
Строим печи и камины
вернуться

Борисов Кирилл

Шрифт:

– кирпич огнеупорный – 160 шт.;

– решетка колосниковая 252 х 300 мм – 1 шт.;

– дверка топочная 250 х 205 мм – 1 шт.;

– дверка прочистная 130 х 140 мм – 2 шт.;

– дверка поддувальная 130 х 140 мм – 1 шт.;

– задвижка 130 х 240 мм – 2 шт.;

– лист предтопочный 500 х 700 мм – 1 шт.

Последовательность кладки печи

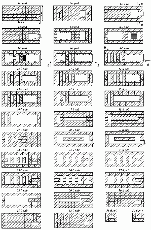
1-й ряд – выкладывается из целого кирпича.

2-й ряд – выполняется перевязка кладки 1-го ряда. Кирпич перед поддувальной дверкой следует стесать.

3–4-й ряды – установка поддувальной дверки и формирование зольной камеры, размер которой необходимо сузить до размера колосниковой решетки.

5-й ряд – начиная с этого ряда, кладка ведется из огнеупорного шамотного кирпича.

6-й ряд – установка колосниковой решетки. Кирпич между топочной дверкой и колосниковой решеткой следует стесать под углом в сторону решетки.

7-й ряд – установка топочной дверки.

8-й ряд – формирование топочного пространства и двух нижних вертикальных каналов.

9-й ряд – кладка ведется аналогично 8-му ряду с соблюдением перевязки швов.

10-й ряд – перекрытие топочной дверки.

11–13-й ряды – кладка топки и двух нижних вертикальных каналов.

14–15-й ряды – завершение устройства переходного горизонтального канала между двумя нижними вертикальными газоходами.

16–17-й ряды – перекрытие топочного пространства и ближнего к топке вертикального газохода.

18–19-й ряды – установка дверки чистки горизонтального канала.

20-й ряд – начало формирования выходного газохода, в котором впоследствии будут установлены две задвижки.

21–27-й ряды – формирование наружных стенок печи и трех перегородок верхних вертикальных каналов. На 23-м ряду производят установку задвижки.

28–29-й ряды – формирование перевального газохода между верхними перегородками, подготовка места для установки задвижки.

30-й ряд – установка задвижки.

31–32-й ряды – завершение перекрытия печи.

33-й ряд – начало формирования дымовой трубы в четыре кирпича.

Прямоугольная толстостенная отопительная печь (ОПТ-11)

Печь ОПТ-11 (рис. 68)обладает одним из наиболее высоких показателей по теплопроизводительности – 4900 Вт. Боковины топливника и двух первых каналов футерируются огнеупорным кирпичом. Футеровка производится на четверть кирпича. Горячие газы поднимаются из топки под перекрытие, расположенное на 16-м ряду кладки, и, ударяясь об него, по двум каналам опускаются. Благодаря такому движению газов нижняя часть печи хорошо прогревается. Дымовые газы проходят через нижнюю зону, поднимаются в верхний колпак, разделенный четырьмя перегородками, отдают тепло перекрыше и перегородкам, опускаются и выходят через дымовую трубу. В том случае, если топочные и поддувальные дверки закрываются герметично, в дымовой трубе можно установить одну задвижку.

При футеровке топливника и опускных каналов следует учесть, что верхняя часть дымовой трубы не должна соприкасаться с кладкой перекрытия, потому что при нагревании кирпичная кладка будет расширяться, в результате чего горизонтальный шов между ее рядами может раскрыться. Кроме того, не рекомендуется перевязывать между собой кирпичи стенок топливника и футеровки.

Поскольку топливник расположен в торце печи, ее можно устанавливать в перегородках между двумя смежными комнатами. Топка печи производится из коридора или другой части дома.

Рис. 68. Печь ОПТ-11

Рис. 68 (продолжение). Последовательность кладки

Рис. 68 (продолжение). Последовательность кладки

Материалы для кладки печи:

– кирпич обычный – 510 шт.;

– кирпич тугоплавкий – 250 шт.;

– решетка колосниковая 252 х 300 мм – 1 шт.;

– дверка топочная 250 х 205 мм – 1 шт.;

– дверка поддувальная 130 х 140 мм – 1 шт.;

– дверка прочистная 130 х 140 мм – 2 шт.;

– заслонка дымовая 130 х 240 мм – 2 шт.;

– лист предтопочный 500 х 700 мм – 1 шт.

Последовательность кладки

1-й ряд – кладка основания размером 1660 х 640 мм из целого кирпича.

2-й ряд – подготовка места для зольника. Средний кирпич правой боковой стенки следует стесать.

  • Читать дальше
  • 1
  • ...
  • 49
  • 50
  • 51
  • 52
  • 53
  • 54
  • 55
  • 56
  • 57
  • 58
  • 59
  • ...

Ебукер (ebooker) – онлайн-библиотека на русском языке. Книги доступны онлайн, без утомительной регистрации. Огромный выбор и удобный дизайн, позволяющий читать без проблем. Добавляйте сайт в закладки! Все произведения загружаются пользователями: если считаете, что ваши авторские права нарушены – используйте форму обратной связи.

Полезные ссылки

  • Моя полка

Контакты

  • chitat.ebooker@gmail.com

Подпишитесь на рассылку: